Inorganic Chemicals Industry ›› 2025, Vol. 57 ›› Issue (10): 64-74.doi: 10.19964/j.issn.1006-4990.2024-0683
• Research & Development • Previous Articles Next Articles
HU Zhenrong1,2,3(
), ZHANG Manman2,3, SHI Chenglong1(
), PENG Jiaoyu2,3(
), ZHOU Yannan2,3, DONG Yaping2,3, LI Wu2,4
Received:2024-12-17
Online:2025-10-10
Published:2025-07-17
Contact:
SHI Chenglong, PENG Jiaoyu
E-mail:huzr2023@163.com;qhmuscl@126.com;pengjy@isl.ac.cn
CLC Number:
HU Zhenrong, ZHANG Manman, SHI Chenglong, PENG Jiaoyu, ZHOU Yannan, DONG Yaping, LI Wu. Study on crystallization process and kinetic of macallisterite in concentrated MgCl2-xNa2O·yB2O3-H2O solution[J]. Inorganic Chemicals Industry, 2025, 57(10): 64-74.
Table 2
BBD experimental design and results"
实验 号 | 温度(X1)/℃ | w(B2O3)(X2)/% | n(NaOH): n(H3BO3)(X3) | 晶种加入 量(X4)/g | 结晶产率/% | |
|---|---|---|---|---|---|---|
| 实际值 | 预测值 | |||||
| 1 | 15 | 3.88 | 1.8:5 | 0.30 | 62.08 | 63.21 |
| 2 | 20 | 3.88 | 2.0:5 | 0.30 | 61.82 | 59.28 |
| 3 | 25 | 4.08 | 1.8:5 | 0.30 | 65.73 | 65.05 |
| 4 | 20 | 3.88 | 1.8:5 | 0.50 | 61.21 | 62.22 |
| 5 | 20 | 3.98 | 1.6:5 | 0.10 | 64.18 | 65.29 |
| 6 | 20 | 3.98 | 1.6:5 | 0.50 | 62.11 | 61.42 |
| 7 | 20 | 3.98 | 1.8:5 | 0.30 | 72.24 | 71.68 |
| 8 | 20 | 4.08 | 1.8:5 | 0.50 | 67.54 | 69.61 |
| 9 | 20 | 3.98 | 1.8:5 | 0.30 | 72.24 | 71.68 |
| 10 | 20 | 3.88 | 1.8:5 | 0.10 | 67.75 | 66.92 |
| 11 | 25 | 3.88 | 1.8:5 | 0.30 | 64.63 | 65.11 |
| 12 | 20 | 3.88 | 1.6:5 | 0.30 | 61.65 | 62.40 |
| 13 | 15 | 3.98 | 2.0:5 | 0.30 | 63.92 | 66.30 |
| 14 | 20 | 4.08 | 2.0:5 | 0.30 | 73.94 | 71.50 |
| 15 | 15 | 3.98 | 1.8:5 | 0.50 | 66.91 | 65.59 |
| 16 | 20 | 3.98 | 2.0:5 | 0.50 | 61.19 | 60.53 |
| 17 | 25 | 3.98 | 2.0:5 | 0.30 | 59.15 | 61.26 |
| 18 | 15 | 4.08 | 1.8:5 | 0.30 | 79.87 | 79.84 |
| 19 | 20 | 4.08 | 1.6:5 | 0.30 | 65.89 | 66.74 |
| 20 | 25 | 3.98 | 1.8:5 | 0.10 | 65.09 | 64.72 |
| 21 | 20 | 3.98 | 1.8:5 | 0.30 | 68.81 | 71.68 |
| 22 | 15 | 3.98 | 1.8:5 | 0.10 | 76.33 | 75.05 |
| 23 | 20 | 4.08 | 1.8:5 | 0.10 | 75.85 | 76.08 |
| 24 | 20 | 3.98 | 1.8:5 | 0.30 | 72.86 | 71.68 |
| 25 | 15 | 3.98 | 1.6:5 | 0.30 | 67.75 | 66.88 |
| 26 | 25 | 3.98 | 1.6:5 | 0.30 | 60.16 | 59.02 |
| 27 | 20 | 3.98 | 1.8:5 | 0.30 | 72.23 | 71.68 |
| 28 | 25 | 3.98 | 1.8:5 | 0.50 | 63.43 | 63.02 |
| 29 | 20 | 3.98 | 2.0:5 | 0.10 | 66.68 | 67.83 |
Table 3
Variance analysis of regression model"
| 变异来源 | 平方和 | 自由度 | 均方 | F值 | P值 | 显著性 |
|---|---|---|---|---|---|---|
| 模型 | 770.56 | 14 | 55.04 | 14.94 | <0.000 1 | 极显著 |
| X1 | 124.61 | 1 | 124.61 | 33.83 | <0.000 1 | 极显著 |
| X2 | 205.68 | 1 | 205.68 | 55.83 | <0.000 1 | 极显著 |
| X3 | 2.05 | 1 | 2.05 | 0.56 | 0.468 0 | 不显著 |
| X4 | 93.47 | 1 | 93.47 | 25.37 | 0.000 2 | 极显著 |
| X1X2 | 69.64 | 1 | 69.64 | 18.90 | 0.000 7 | 极显著 |
| X1X3 | 1.99 | 1 | 1.99 | 0.54 | 0.474 7 | 不显著 |
| X1X4 | 15.05 | 1 | 15.05 | 4.09 | 0.062 8 | 不显著 |
| X2X3 | 15.52 | 1 | 15.52 | 4.21 | 0.059 3 | 不显著 |
| X2X4 | 0.78 | 1 | 0.78 | 0.21 | 0.651 8 | 不显著 |
| X3X4 | 2.92 | 1 | 2.92 | 0.79 | 0.388 0 | 不显著 |
| X12 | 40.30 | 1 | 40.30 | 10.94 | 0.005 2 | 极显著 |
| X22 | 5.01 | 1 | 5.01 | 1.36 | 0.263 0 | 不显著 |
| X32 | 219.62 | 1 | 219.62 | 59.61 | <0.000 1 | 极显著 |
| X42 | 28.34 | 1 | 28.34 | 7.69 | 0.014 9 | 显著 |
| 残差 | 51.58 | 14 | 3.68 | |||
| 失拟项 | 41.02 | 10 | 4.10 | 1.55 | 0.356 2 | 不显著 |
| 纯误差 | 10.56 | 4 | 2.64 | |||
| 总和 | 822.14 | 28 |
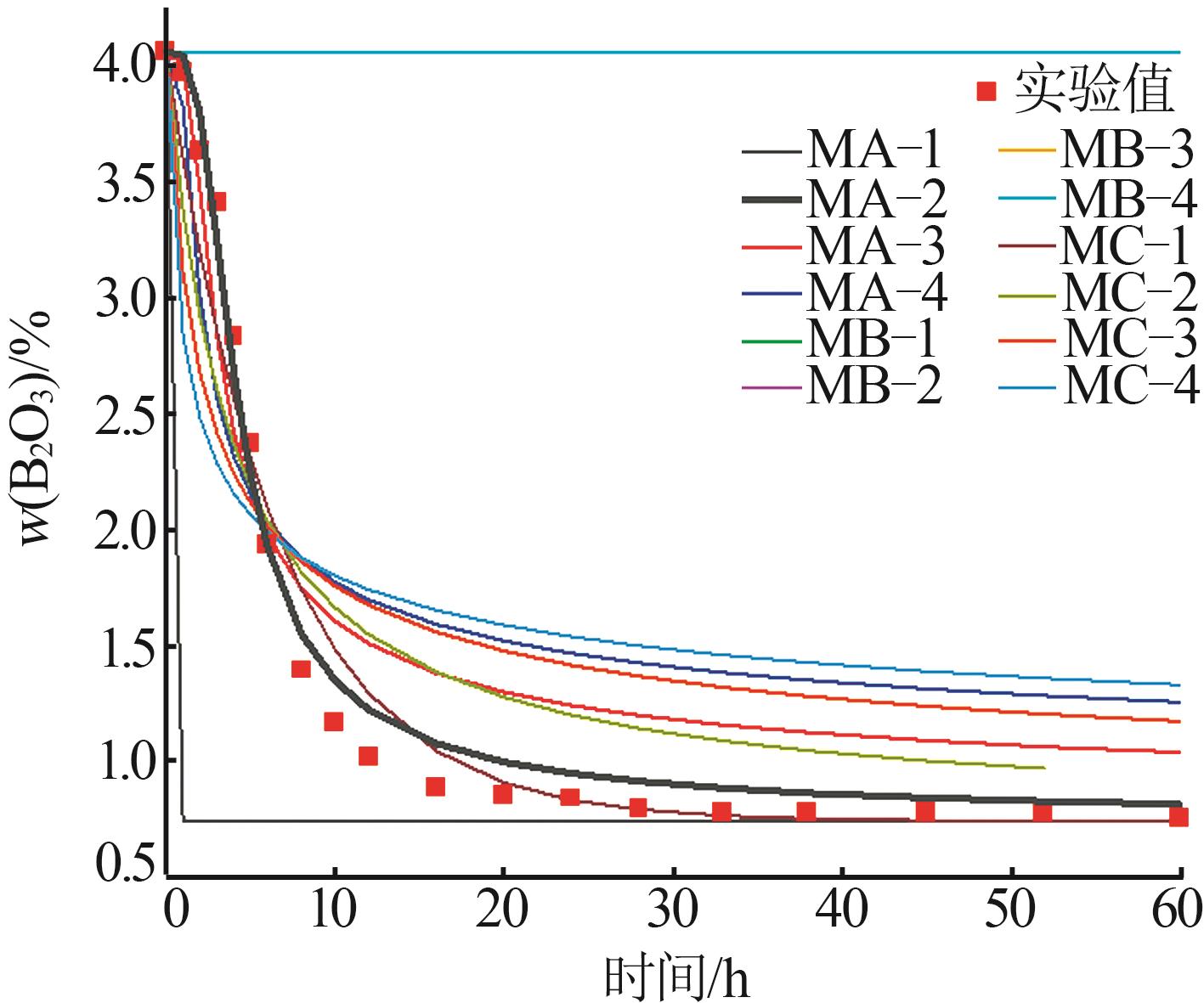
Table 5
Fitting results of model for crystallization kinetics of macallisterite at 15 ℃"
| 动力学模型 | 残差平方和S | 速率常数k | 拟合优度R2 |
|---|---|---|---|
| MA-1 | 35.165 4 | 5.761 0 | 0.279 3 |
| MA-2 | 0.305 4 | 0.110 7 | 0.984 8 |
| MA-3 | 2.398 6 | 0.049 3 | 0.850 8 |
| MA-4 | 5.698 8 | 0.022 3 | 0.621 7 |
| MB-1 | 129.653 8 | 0.001 0 | 0.454 7 |
| MB-2 | 129.653 8 | 0.001 0 | 0.454 7 |
| MB-3 | 129.653 8 | 0.001 0 | 0.454 7 |
| MB-4 | 129.653 8 | 0.001 0 | 0.454 7 |
| MC-1 | 1.064 6 | 0.149 7 | 0.936 2 |
| MC-2 | 3.437 2 | 0.078 4 | 0.731 1 |
| MC-3 | 6.663 6 | 0.044 0 | 0.462 9 |
| MC-4 | 9.610 3 | 0.027 1 | 0.281 3 |
| [1] | 贺茂勇,张宁,文雪琴,等.硼同位素高精度测定进展、应用及挑战[J].东华理工大学学报(自然科学版),2023,46(6):597- 607. |
| HE Maoyong, ZHANG Ning, WEN Xueqin,et al.Progress,applications,and challenges in high precision measurement of boron isotopes[J].Journal of East China University of Technology(Natural Science),2023,46(6):597-607. | |
| [2] | INKRATAITE G, SKRUODIENE M, SKAUDZIUS R.Synthesis and investigation of novel boron- and magnesium-doped YAG:Ce and LuAG:Ce phosphor ceramics[J].Luminescence,2024,39(1):e4673. |
| [3] | LIU Jingfei, LI Yuanbing, YIN Bo,et al.Novel magnesium borate ceramic matrix composites with glass fiber reinforcement[J].Ceramics International,2023,49(7):11197-11203. |
| [4] | ALEXEY S, VITA V.Investigation of BaSO4-KPO3-Na2B4O7 low-melting glass system as a basis for synthesis of a glass-solder material[J].Key Engineering Materials,2021,6152:60-64. |
| [5] | 赵鋆,周桓.盐湖卤水体系硼的存在形态及其分布规律的研究进展[J].盐科学与化工,2024,53(1):1-7. |
| ZHAO Yun, ZHOU Huan.Research progress on the existing forms and distribution patterns of boron in salt lake brine systems[J].Journal of Salt Science and Chemical Industry,2024,53(1):1-7. | |
| [6] | CHI Mengjiao, LIU Yahan, ZHOU Tao,et al.Ni doping improving magnesium borate microwave dielectric ceramic for LTCC via cold sintering and post-annealing process[J].Journal of Materials Science:Materials in Electronics,2023,34(3):235. |
| [7] | YANG Rui, JIA Qingchao, ZHANG Liangzhu,et al.Unveiling the effect of phase separation on crystallization of calcium borosilicate glass-ceramics[J].Ceramics International,2024,50(7):11003-11011. |
| [8] | 孟令宗,邓天龙,段超文,等.三方硼镁石合成方法研究[J].世界科技研究与发展,2010,32(6):825-826. |
| MENG Lingzong, DENG Tianlong, DUAN Chaowen,et al.A synthetic method for mcallisterite[J].World Sci-Tech R&D,2010,32(6):825-826. | |
| [9] | HABERMANN F, BURKMANN K, KRAUS J,et al.Thermodynamic and kinetic study of the thermal dehydrogenation of Sr(AlH4)2 taking into account the by-products NaCl and LiCl[J].Journal of Alloys and Compounds,2024,980:173476. |
| [10] | 刘志宏,胡满成,高世扬.2MgO·2B2O3·MgCl2·14H2O-7.8%H3BO3-H2O体系多温相关系研究[J].高等学校化学学报,2003,24(2):189-194. |
| LIU Zhihong, HU Mancheng, GAO Shiyang.Phase relation of 2MgO·2B2O3·MgCl2·14H2O-7.8%H3BO3-H2O system at various temperatures[J].Chemical Research in Chinese Universities,2003,24(2):189-194. | |
| [11] | KIPCAK A S, YILDIRIM M, AYDIN YUKSEL S,et al.The synthesis and physical properties of magnesium borate mineral of admontite synthesized from sodium borates[J].Advances in Materials Science and Engineering,2014,2014:819745. |
| [12] | YILDIRIM M, KIPCAK A S, DERUN E M.Sonochemical-assisted magnesium borate synthesis from different boron sources[J].Polish Journal of Chemical Technology,2017,19(1):81-88. |
| [13] | 彭姣玉,谈钰琴,杨克利,等.盐湖水氯镁石合成三方硼镁石的结晶机理及动力学研究[J].无机盐工业,2023,55(10):56-62. |
| PENG Jiaoyu, TAN Yuqin, YANG Keli,et al.Study on crystallization mechanism and kinetics of macallisterite synthesized with bischofite from salt lake[J].Inorganic Chemicals Industry,2023,55(10):56-62. | |
| [14] | LIN Yong, GYAKWAA F, KOKKONEN T,et al.Investigation on crystallization of CaO-Al2O3-B2O3-BaO slag using differential scanning calorimeter and in situ high-temperature Raman spectroscopy[J].Steel Research International,2024,24(4):2400697. |
| [15] | JESSEN C, KORNATH A J.Synthesis and structure of protonated sulfur dioxide[J].Angewandte Chemie International Edition,2024,63(20):e202401953. |
| [16] | KOROLEVA O N, NEVOLINA L A, KRIVENKO A P.Crystallization of Na- and Cs-bearing borosilicate melts:Results of Raman spectroscopy[J].Geochemistry International,2024,62(10):1057-1064. |
| [17] | 彭姣玉,多杰卓么,黄保坤,等.拉曼积分球光谱仪对盐水溶液中B(OH)3的定量分析[J].盐湖研究,2024,32(2):30-37. |
| PENG Jiaoyu, DUOJIE Zhuome, HUANG Baokun,et al.Quantitative analysis of boric acid(B(OH)3)in aqueous salt solution by simplified Raman integrating sphere[J].Journal of Salt Lake Research,2024,32(2):30-37. | |
| [18] | 贾艳萍,马艳菊,管文昕,等.响应面法优化Fe0/H2O2体系降解染料废水的工艺条件及机理[J].化工学报,2025,76(1):348-362. |
| JIA Yanping, MA Yanju, GUAN Wenxin,et al.Process conditions optimization and degradation mechanism of dye wastewater by Fe0/H2O2 system using response surface methodology[J].CIESC Journal,2025,76(1):348-362. | |
| [19] | FERREIRA N, VIANA T, HENRIQUES B,et al.Application of response surface methodology and box-behnken design for the optimization of mercury removal by Ulva sp[J].Journal of Hazardous Materials,2023,445:130405. |
| [20] | 郭元亨,皮冬伟,陶进,等.响应曲面法优化赤藓糖醇结晶工艺[J].食品与发酵工业,2024,50(9):56-63. |
| GUO Yuanheng, PI Dongwei, TAO Jin,et al.Crystallization process optimization of erythritol by response surface methodology[J].Food and Fermentation Industries,2024,50(9):56-63. | |
| [21] | POLAT S, SAYAN P.Box-behnken experimental design for zinc borate Zn2B6O11·7H2O[J].Journal of Boron,2020:5(3):152- 161. |
| [22] | KALASHGRANI M, BABAPOOR A, MOUSAVI S,et al.Synthesis of isoreticular metal organic framework-3 (IRMOF-3) porous nanostructure and its effect on naphthalene adsorption:Optimized by response surface methodology[J].Separations,2023,10(4):261. |
| [23] | 彭姣玉,张波,陈婧,等.大柴旦富硼浓缩盐卤中硼酸镁盐稀释结晶动力学[J].无机化学学报,2019,35(10):1821-1833. |
| PENG Jiaoyu, ZHANG Bo, CHEN Jing,et al.Crystallization kinetics of Mg-borates precipitating from diluted boron-containing brine of da Qaidam saline lake[J].Chinese Journal of Inorganic Chemistry,2019,35(10):1821-1833. | |
| [24] | ZHANG Ye, YAN Xiao, WANG Li,et al.Forsterite refractory preparation using magnesium resources from salt lake brines[J].Minerals Engineering,2023,203:108333. |
| [25] | FUKUDA H, TSUCHIYA K, TOBA Y,et al.Rapid boron removal from wastewater using low-crystalline magnesium oxide[J].Journal of Environmental Chemical Engineering,2020,8(5):104171. |
| [1] | CHEN Mengmeng, XU Dekan, HUANG Jilong, TANG Zhilan, ZHANG Xu, TAN Chao, WANG Xiaohu, PENG Wenbo. Study on preparation and performance of Ni-modified titanium-based lithium ion sieve [J]. Inorganic Chemicals Industry, 2025, 57(9): 37-45. |
| [2] | SHOU Zhixin, XU Dehua, LIU Yujia, YANG Wengong, WANG Xinlong. Study on thermal decomposition kinetics of sodium fluosilicate [J]. Inorganic Chemicals Industry, 2025, 57(8): 28-34. |
| [3] | WU Mingsong, ZOU Zhigang, WANG He, CHEN Yu, ZHENG Jiaxing. Study on catalytic reaction kinetics for preparation of chlorine dioxide from electrolyzed sodium chlorite [J]. Inorganic Chemicals Industry, 2025, 57(7): 44-49. |
| [4] | KONG Lingjie, LI Guangbi, XIE Jiahao, YANG Xinhui, BAI Xiaoqin. Research progress on lithium extraction technology from salt lake brine [J]. Inorganic Chemicals Industry, 2025, 57(1): 14-26. |
| [5] | ZENG Yijun, JIANG Ziwen, JIAN Chengzong, QUAN Xuejun. Study on deep extraction of chromium from calcium-free roasting slag of chromite ore [J]. Inorganic Chemicals Industry, 2025, 57(1): 90-96. |
| [6] | MA Shuqing, LI Changwen, SHI Chenglong, QIN Yaru. Kinetic study of lithium extraction from solution with iron-based ionic liquid system [J]. Inorganic Chemicals Industry, 2024, 56(9): 60-66. |
| [7] | FANG Fan, YAO Benlin, XIAO Yiqun, JIA Yanhong, CHEN Hui, LI Bin, HE Hui. Research progress on dissolution behavior and mechanism of uranium dioxide in nitric acid [J]. Inorganic Chemicals Industry, 2024, 56(9): 34-43. |
| [8] | ZOU Yang, LU Zhiyan, HU Zhilin, SUN Ze. Study on metastable zone width and primary nucleation kinetics for cooling crystallization of KNO3 [J]. Inorganic Chemicals Industry, 2024, 56(9): 67-74. |
| [9] | CHENG Ziyang, CHEN Guofu. Early hydration kinetics research of nano-SiO2 and cement composite cementitious materials [J]. Inorganic Chemicals Industry, 2024, 56(7): 80-87. |
| [10] | CHENG Chunchun, LI Yulong, ZHANG Zhiqiang, LIU Xuejing. Study on dissolution crystallization for extraction of potassium and separation of magnesium and lithium from salt lake brine [J]. Inorganic Chemicals Industry, 2024, 56(6): 34-39. |
| [11] | LIU Xiaowen, LI Jun, ZHOU Zhaoan, MAO Anzhang, ZHOU Aiqing. Study on response surface methodology optimization of PAC for deep purification of fluorine ion in high concentration sodium sulfate solution [J]. Inorganic Chemicals Industry, 2024, 56(6): 67-72. |
| [12] | LI Chunli, ZHANG Huanhuan, CHENG Zhuo, TANG Xiuhua, ZHANG Fengzhen, YE Yuling. Anti-solvent crystallization process of NH4VO3 in NaVO3-NH4Cl-H2O solution system [J]. Inorganic Chemicals Industry, 2024, 56(5): 39-44. |
| [13] | ZHANG Yu, ZHAO Guiyan, TIAN Yongchang, QIU Xiaokui, SUN Jiali, XU Lixin. Reaction kinetics of ethylenediamine hydrochloride with calcium hydroxide [J]. Inorganic Chemicals Industry, 2024, 56(5): 64-69. |
| [14] | ZHAO Shiyong, XIAO Yuchen, MA Qingqing, YANG Zhenni, WANG Jizhen, FAN Xiaoping. Study on adsorption of Cu(Ⅱ) on 4A zeolite synthesized by aluminum extraction residue by fly ash [J]. Inorganic Chemicals Industry, 2024, 56(10): 127-134. |
| [15] | ZHANG Conghua, YAN Wenbin, XIAO Jiajun, ZHAO Ke, PENG Shangquan, WEI Yuhong. Reductive leaching technology of manganese anode slag using tartaric acid as reducing agent optimized by RSM [J]. Inorganic Chemicals Industry, 2023, 55(9): 106-113. |
| Viewed | ||||||
|
Full text |
|
|||||
|
Abstract |
|
|||||
|
||
Copyright © 2021 Editorial Office of Inorganic Chemicals Industry
Add:No.3 Road Dingzigu,Hongqiao District,Tianjin,China
E-mail:book@wjygy.com.cn 违法和不良信息举报电话: 022-26689297