无机盐工业
主管:中海油天津化工研究设计院有限公司
主办:中海油天津化工研究设计院有限公司
   中海油炼油化工科学研究院(北京)有限公司
   中国化工学会无机酸碱盐专业委员会
ISSN 1006-4990 CN 12-1069/TQ

无机盐工业 ›› 2026, Vol. 58 ›› Issue (1): 99-107.doi: 10.19964/j.issn.1006-4990.2024-0687

• 环境·健康·安全 • 上一篇    下一篇

石灰消化制备高比表面氢氧化钙及其铅吸附性能研究

陈建军1(), 李力2, 刘来宝1, 张岱宇3, 姜晨曦1, 竹含真1, 王辅1(), 廖其龙1()   

  1. 1.西南科技大学材料与化学学院,四川 绵阳 621010
    2.四川金顶集团股份有限公司,四川峨眉山 614200
    3.西南科技大学环境与资源学院,四川 绵阳 621010
  • 收稿日期:2024-12-19 出版日期:2026-01-10 发布日期:2026-01-20
  • 通讯作者: 王辅(1984— ),男,教授,硕士生导师,研究方向为无机功能材料;E-mail:wangfu@swust.edu.cn
    廖其龙(1965— ),男,教授,博士生导师,研究方向为无机功能材料;E-mail:liaoqilong@swust.edu.cn
  • 作者简介:陈建军(1999— ),男,硕士,研究方向为无机功能材料;E-mail:2855631454@qq.com
  • 基金资助:
    四川金顶集团股份有限公司资助项目(JD-FV-YJ-20230819-001);西南科技大学资助项目(20zx7143)

Study on synthesis of high specific surface area calcium hydroxide by quicklime digestion and its adsorption performance for lead

CHEN Jianjun1(), LI Li2, LIU Laibao1, ZHANG Daiyu3, JIANG Chenxi1, ZHU Hanzhen1, WANG Fu1(), LIAO Qilong1()   

  1. 1. School of Materials and Chemistry,Southwest University of Science and Technology,Mianyang 621010,China
    2. Sichuan Jinding Group Co. ,Ltd. ,Emeishan 614200,China
    3. School of Environment and Resources,Southwest University of Science and Technology,Mianyang 621010,China
  • Received:2024-12-19 Published:2026-01-10 Online:2026-01-20

摘要:

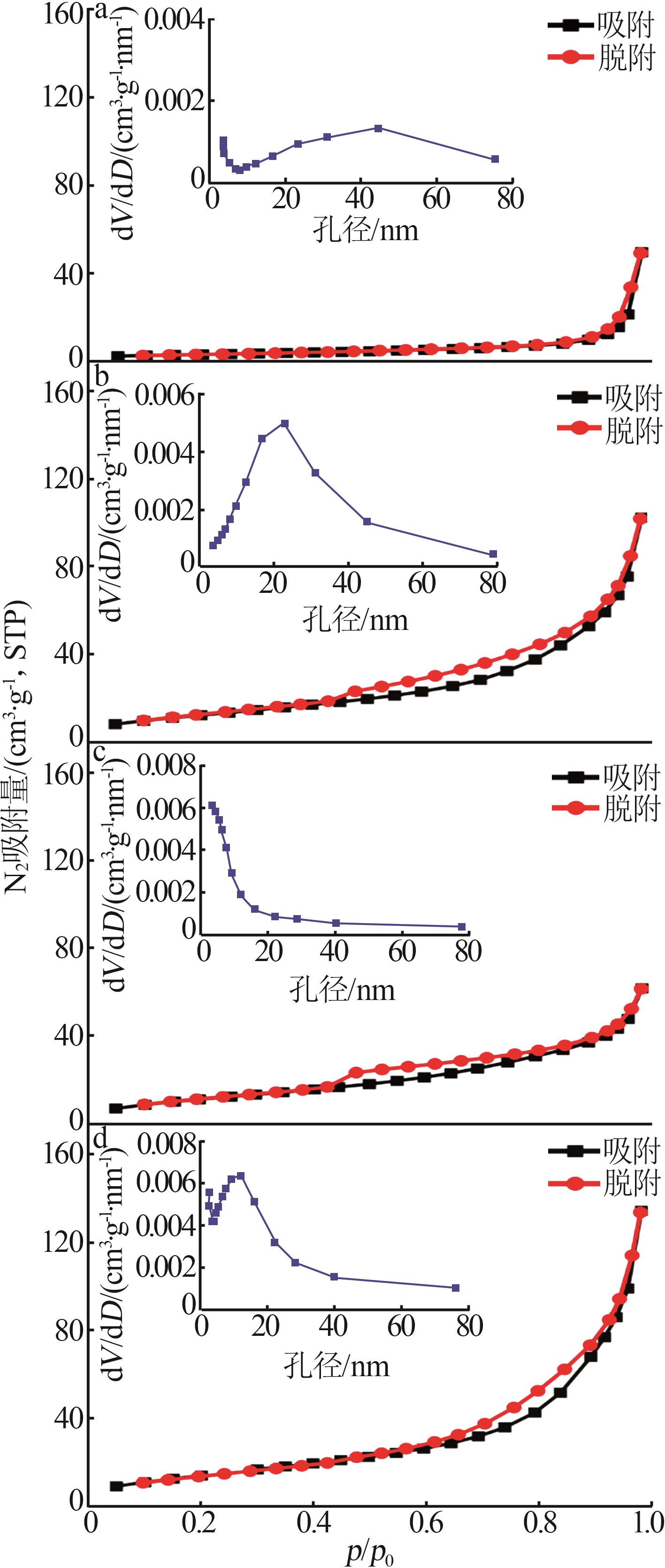
为探究不同烷醇胺改性剂对Ca(OH)2理化性质和微观结构的影响,以及所制备的高比表面积Ca(OH)2对铅吸附性能的影响,分别以三异丙醇胺(TIPA)、二乙醇单异丙醇胺(DEIPA)、三乙醇胺(TEA)为改性剂,生石灰为原料,采用消化法制备出片层状、高比表面积氢氧化钙,将其应用于含铅废水的处理。利用X射线衍射仪、高真空气体吸附分析仪、激光粒度仪、场发射扫描电镜对制备的Ca(OH)2进行表征分析,结果表明,以TEA为改性剂获得的片层状Ca(OH)2性能最佳,其比表面积、孔体积和平均孔径分别为53.94 m²/g、0.208 cm³/g和11.66 nm。同时,揭示高比表面积片层状Ca(OH)2可能的形成机理。此外,Ca(OH)2对铅的吸附过程更符合Langmuir模型(R²=0.992 5)和准二级动力学模型(R2=0.999 7),主要是以化学吸附为主的单分子吸附过程,同时伴随着少量物理吸附,其对水中铅的吸附率达99.54%,残留铅的质量浓度≤0.46 mg/L,远低于排放限值,证实烷醇胺改性Ca(OH)2在含铅废水处理方面有广阔的应用前景。

关键词: 高比表面积Ca(OH)2, 石灰消化, 吸附铅, 烷醇胺改性剂

Abstract:

To investigate the effects of different alkanolamine surfactants on the physicochemical properties and microstructure of Ca(OH)2,as well as its lead adsorption performance,lamellar high specific surface area Ca(OH)2 were prepared by a digestion method using quicklime as the raw material,triisopropanolamine(TIPA),Diethyl alcohol monoisopropanolamine(DEIPA),and triethanolamine(TEA) as the modifying agents respectively,for the treatment of lead⁃containing wastewater.The Ca(OH)2 was characterized using X⁃ray diffraction(XRD),high⁃vacuum gas adsorption analyzer,laser particle size analyzer,and field emission scanning electron microscope(FESEM).The results showed that the lamellar Ca(OH)2 obtained by using TEA had optimal properties,with specific surface area,pore volume and average pore size of 53.94 m²/g,0.208 cm³/g and 11.66 nm,respectively.A possible formation mechanism for the high specific surface area Ca(OH)2 was also proposed.Furthermore,The adsorption process for lead in wastewater was well fitted with Langmuir model(R²=0.992 5) and quasi⁃second⁃order kinetic model(R2=0.999 7),indicating that the adsorption process was mainly a single molecular adsorption process based on chemical adsorption,accompanied by physical adsorption,so that the removal efficiency reached 99.54%,and the residual concentration of lead in water was less than 0.46 mg/L,which was far below the discharge limit.These findings demonstrated the broad application prospects of alkanolamine⁃modified Ca(OH)2 in the treatment of lead⁃containing wastewater.

Key words: high specific surface area Ca(OH)2, lime digestion, lead adsorption, alkanolamine modifying agent

中图分类号: