Inorganic Chemicals Industry ›› 2025, Vol. 57 ›› Issue (8): 65-73.doi: 10.19964/j.issn.1006-4990.2024-0441
• Research & Development • Previous Articles Next Articles
WANG Chao1(
), SUN Xiaohong1,2(
), DING Xiaojiang1,2, ZHOU Youlian1,2, WANG Shuli1,2, WANG Fan1,2, LIU Wanping2
Received:2024-08-07
Online:2025-08-10
Published:2024-09-11
Contact:
SUN Xiaohong
E-mail:neuwc5211@163.com;sxhbei@163.com
CLC Number:
WANG Chao, SUN Xiaohong, DING Xiaojiang, ZHOU Youlian, WANG Shuli, WANG Fan, LIU Wanping. Study on enrichment law of elements in brine of Qarhan Salt Lake at different temperatures[J]. Inorganic Chemicals Industry, 2025, 57(8): 65-73.
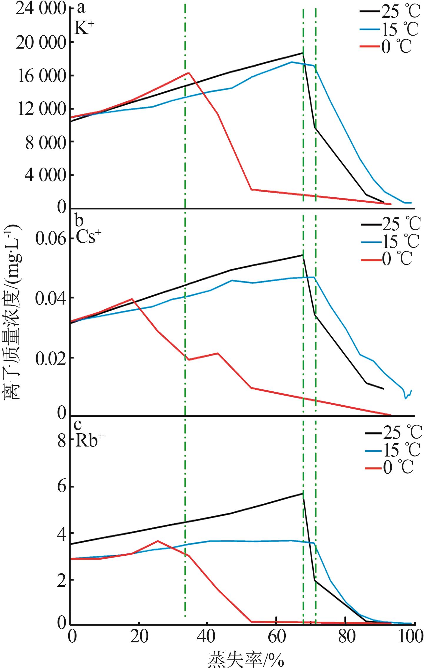
Table 3
Analysis of major element compositions in liquid phase at 0 ℃"
| 编号 | 蒸失率/ % | 各物质的质量浓度/(g·L-1) | |||||
|---|---|---|---|---|---|---|---|
| K+ | Na+ | Ca2+ | Mg2+ | Cl- | SO42- | ||
| Z0-1 | 0 | 10.84 | 39.77 | 0.98 | 50.20 | 215.03 | 4.56 |
| Z0-2 | 8.70 | 11.54 | 33.74 | 1.08 | 55.75 | 219.11 | 5.15 |
| Z0-3 | 18.21 | 12.90 | 27.75 | 1.16 | 61.05 | 227.54 | 5.49 |
| Z0-4 | 25.70 | 14.38 | 21.99 | 1.20 | 65.82 | 235.82 | 6.30 |
| Z0-5 | 34.76 | 16.22 | 14.67 | 0.88 | 73.96 | 253.22 | 5.24 |
| Z0-6 | 43.16 | 11.25 | 9.43 | 0.65 | 82.91 | 261.80 | 5.61 |
| Z0-7 | 52.92 | 2.18 | 3.73 | 0.33 | 98.71 | 293.85 | 5.79 |
| Z0-8 | 88.75 | 0.43 | 0.01 | 0.14 | 123.30 | 342.03 | 7.76 |
Table 4
Analysis of trace element compositions in liquid phase at 0 ℃"
| 编号 | 蒸失率/% | 各物质的质量浓度/(mg·L-1) | 密度/(g·mL-1) | ||||||
|---|---|---|---|---|---|---|---|---|---|
| Li+ | B2O3 | Rb+ | Sr2+ | Cs+ | Br- | I- | |||
| Z0-1 | 0 | 90.54 | 367.62 | 2.81 | 29.76 | 0.03 | 17.04 | 0.13 | 1.224 0 |
| Z0-2 | 8.70 | 96.95 | 354.70 | 2.81 | 32.67 | 0.03 | 1.03 | 0.07 | 1.250 0 |
| Z0-3 | 18.21 | 103.10 | 388.39 | 3.03 | 34.43 | 0.04 | 24.17 | 0.20 | 1.238 6 |
| Z0-4 | 25.70 | 113.32 | 485.46 | 3.57 | 36.24 | 0.03 | 23.70 | 0.18 | 1.250 0 |
| Z0-5 | 34.76 | 123.24 | 561.05 | 2.94 | 33.15 | 0.02 | 21.10 | 0.15 | 1.255 8 |
| Z0-6 | 43.16 | 141.07 | 661.86 | 1.48 | 34.65 | 0.02 | 28.48 | 0.20 | 1.268 1 |
| Z0-7 | 52.92 | 174.50 | 958.77 | 0.08 | 27.58 | 0.01 | 33.06 | 0.28 | 1.290 0 |
| Z0-8 | 88.75 | 305.11 | 1 221.64 | 0.01 | 13.53 | 0.00 | 49.16 | 0.44 | 1.331 0 |
Table 5
Analysis of main element compositions in solid phase at 0 ℃"
| 编号 | 蒸失率/ % | 各物质的质量分数/% | |||||
|---|---|---|---|---|---|---|---|
| K+ | Na+ | Ca2+ | Mg2+ | Cl- | SO42- | ||
| Z0-9 | 8.70 | 0.38 | 34.83 | 0.06 | 1.53 | 57.31 | 0.15 |
| Z0-10 | 18.21 | 0.49 | 32.99 | 0.06 | 2.19 | 55.60 | 0.22 |
| Z0-11 | 25.70 | 0.53 | 31.98 | 0.33 | 2.37 | 54.49 | 0.90 |
| Z0-12 | 34.76 | 0.59 | 29.93 | 1.22 | 2.54 | 51.95 | 3.03 |
| Z0-13 | 43.16 | 9.32 | 8.44 | 0.24 | 8.12 | 43.69 | 0.69 |
| Z0-14 | 52.92 | 9.07 | 5.26 | 0.34 | 8.81 | 40.50 | 0.94 |
| Z0-15 | 88.75 | 1.12 | 1.46 | 0.10 | 11.75 | 35.74 | 0.36 |
Table 6
Analysis of trace element compositions in solid phase at 0 ℃"
| 编号 | 蒸失率/ % | 各物质的含量/(μg·g-1) | ||||||
|---|---|---|---|---|---|---|---|---|
| Li+ | B2O3 | Rb+ | Sr2+ | Cs+ | Br- | I- | ||
| Z0-9 | 8.70 | 24.10 | 139.00 | 1.29 | 8.29 | 0.03 | 7.02 | 0.20 |
| Z0-10 | 18.21 | 24.19 | 103.47 | 1.03 | 11.37 | 0.02 | 8.07 | 0.44 |
| Z0-11 | 25.70 | 31.25 | 138.05 | 1.19 | 36.17 | 0.02 | 9.12 | 0.49 |
| Z0-12 | 34.76 | 34.86 | 156.16 | 1.29 | 148.51 | 0.02 | 10.18 | 0.51 |
| Z0-13 | 43.16 | 40.54 | 157.91 | 42.54 | 48.76 | 0.25 | 17.28 | 0.16 |
| Z0-14 | 52.92 | 48.21 | 182.98 | 15.49 | 102.74 | 0.22 | 19.74 | 0.17 |
| Z0-15 | 88.75 | 45.15 | 199.50 | 0.43 | 55.80 | 0.03 | 23.72 | 0.11 |
Table 7
Analysis of major element compositions in liquid phase at 15 ℃"
| 编号 | 蒸失率/ % | 各物质的质量浓度/(g·L-1) | |||||
|---|---|---|---|---|---|---|---|
| K+ | Na+ | Ca2+ | Mg2+ | Cl- | SO42- | ||
| Z15-1 | 0 | 10.84 | 39.77 | 0.98 | 50.20 | 215.03 | 4.56 |
| Z15-2 | 15.82 | 11.74 | 36.66 | 1.03 | 53.98 | 219.59 | 4.95 |
| Z15-3 | 24.17 | 12.12 | 32.89 | 1.07 | 56.54 | 222.60 | 5.22 |
| Z15-4 | 29.83 | 12.86 | 29.66 | 1.13 | 59.14 | 225.77 | 5.55 |
| Z15-5 | 34.62 | 13.37 | 27.95 | 1.16 | 61.29 | 230.52 | 5.66 |
| Z15-6 | 40.93 | 13.94 | 24.84 | 1.17 | 64.11 | 234.16 | 5.78 |
| Z15-7 | 47.24 | 14.36 | 21.95 | 1.20 | 68.22 | 237.97 | 5.94 |
| Z15-8 | 53.48 | 15.79 | 19.45 | 0.95 | 72.09 | 240.82 | 5.41 |
| Z15-9 | 64.66 | 17.50 | 13.71 | 1.04 | 79.35 | 258.88 | 5.98 |
| Z15-10 | 71.19 | 17.06 | 10.26 | 0.57 | 85.54 | 270.73 | 5.18 |
| Z15-11 | 75.98 | 12.78 | 8.98 | 0.53 | 89.04 | 273.68 | 5.36 |
| Z15-12 | 80.48 | 9.14 | 7.59 | 0.52 | 93.84 | 277.77 | 5.63 |
| Z15-13 | 84.54 | 5.87 | 5.96 | 0.51 | 97.92 | 286.79 | 5.96 |
| Z15-14 | 88.46 | 3.40 | 4.45 | 0.29 | 99.81 | 297.90 | 5.75 |
| Z15-15 | 91.73 | 1.92 | 3.21 | 0.20 | 105.89 | 313.38 | 5.96 |
| Z15-16 | 96.95 | 0.71 | 1.67 | 0.15 | 113.44 | 339.30 | 6.36 |
| Z15-17 | 97.39 | 0.63 | 1.53 | 0.13 | 112.59 | 340.88 | 6.46 |
| Z15-18 | 97.75 | 0.61 | 1.55 | 0.11 | 116.74 | 339.08 | 6.70 |
| Z15-19 | 98.19 | 0.60 | 1.55 | 0.11 | 116.48 | 341.31 | 7.06 |
| Z15-20 | 98.48 | 0.61 | 1.58 | 0.10 | 115.90 | 338.60 | 7.19 |
| Z15-21 | 99.06 | 0.60 | 1.57 | 0.10 | 116.91 | 342.58 | 7.87 |
| Z15-22 | 99.49 | 0.60 | 1.49 | 0.10 | 118.00 | 342.58 | 8.64 |
Table 8
Analysis of trace element compositions in liquid phase at 15 ℃"
| 编号 | 蒸失率/% | 各物质的质量浓度/(mg·L-1) | 密度/(g·mL-1) | ||||||
|---|---|---|---|---|---|---|---|---|---|
| Li+ | B2O3 | Rb+ | Sr2+ | Cs+ | Br- | I- | |||
| Z15-1 | 0 | 90.54 | 367.62 | 2.81 | 29.76 | 0.03 | 17.04 | 0.13 | 1.224 0 |
| Z15-2 | 15.82 | 96.86 | 379.36 | 2.97 | 32.04 | 0.03 | 16.35 | 0.21 | 1.231 2 |
| Z15-3 | 24.17 | 102.09 | 412.26 | 3.19 | 33.68 | 0.04 | 17.19 | 0.22 | 1.235 1 |
| Z15-4 | 29.83 | 102.86 | 416.73 | 3.29 | 34.21 | 0.04 | 18.13 | 0.22 | 1.237 5 |
| Z15-5 | 34.62 | 110.72 | 444.78 | 3.44 | 36.61 | 0.04 | 18.98 | 0.23 | 1.240 7 |
| Z15-6 | 40.93 | 114.46 | 469.58 | 3.58 | 37.44 | 0.04 | 20.18 | 0.24 | 1.244 6 |
| Z15-7 | 47.24 | 121.96 | 520.33 | 3.58 | 38.41 | 0.05 | 10.64 | 0.10 | 1.250 3 |
| Z15-8 | 53.48 | 121.07 | 516.48 | 3.56 | 38.03 | 0.04 | 19.33 | 0.16 | 1.254 2 |
| Z15-9 | 64.66 | 122.84 | 524.17 | 3.60 | 38.79 | 0.05 | 22.51 | 0.17 | 1.268 9 |
| Z15-10 | 71.19 | 129.08 | 509.31 | 3.49 | 31.09 | 0.05 | 31.19 | 0.25 | 1.276 5 |
| Z15-11 | 75.98 | 142.21 | 573.08 | 1.86 | 32.52 | 0.04 | 32.31 | 0.26 | 1.280 1 |
| Z15-12 | 80.48 | 159.17 | 637.23 | 0.93 | 34.28 | 0.03 | 33.96 | 0.27 | 1.283 5 |
| Z15-13 | 84.54 | 165.76 | 659.14 | 0.39 | 33.12 | 0.02 | 36.37 | 0.31 | 1.291 3 |
| Z15-14 | 88.46 | 200.61 | 873.38 | 0.16 | 28.80 | 0.02 | 36.46 | 0.19 | 1.299 1 |
| Z15-15 | 91.73 | 216.07 | 931.73 | 0.07 | 23.32 | 0.01 | 38.28 | 0.22 | 1.311 1 |
| Z15-16 | 96.95 | 239.69 | 1 032.97 | 0.03 | 17.40 | 0.01 | 43.93 | 0.23 | 1.337 8 |
| Z15-17 | 97.39 | 246.16 | 1 065.28 | 0.02 | 16.52 | 0.01 | 45.43 | 0.25 | 1.338 0 |
| Z15-18 | 97.75 | 245.50 | 998.00 | 0.02 | 7.37 | 0.01 | 38.50 | 0.47 | 1.340 5 |
| Z15-19 | 98.19 | 252.80 | 1 039.20 | 0.02 | 6.77 | 0.01 | 36.84 | 0.35 | 1.341 8 |
| Z15-20 | 98.48 | 271.41 | 1 130.35 | 0.02 | 7.65 | 0.01 | 41.01 | 0.39 | 1.340 9 |
| Z15-21 | 99.06 | 294.55 | 1 209.11 | 0.02 | 6.98 | 0.01 | 43.35 | 0.42 | 1.342 6 |
| Z15-22 | 99.49 | 303.46 | 1 260.70 | 0.02 | 6.67 | 0.01 | 45.54 | 0.48 | 1.341 0 |
Table 9
Analysis of main element compositions in solid phase at 15 ℃"
| 编号 | 蒸失率/ % | 各物质的质量分数/% | |||||
|---|---|---|---|---|---|---|---|
| K+ | Na+ | Ca2+ | Mg2+ | Cl- | SO42- | ||
| Z15-23 | 15.82 | 0.48 | 33.75 | 0.04 | 1.70 | 56.19 | 0.17 |
| Z15-24 | 24.17 | 0.52 | 33.28 | 0.05 | 1.91 | 55.95 | 0.20 |
| Z15-25 | 29.83 | 0.62 | 32.93 | 0.06 | 1.95 | 55.70 | 0.22 |
| Z15-26 | 34.62 | 0.57 | 33.15 | 0.07 | 1.95 | 55.82 | 0.26 |
| Z15-27 | 40.93 | 0.75 | 30.88 | 0.10 | 2.55 | 53.97 | 0.34 |
| Z15-28 | 47.24 | 0.85 | 29.90 | 0.30 | 2.70 | 53.47 | 0.82 |
| Z15-29 | 53.48 | 0.66 | 32.13 | 0.55 | 2.13 | 53.97 | 1.42 |
| Z15-30 | 64.66 | 0.69 | 29.98 | 1.42 | 2.26 | 52.11 | 0.01 |
| Z15-31 | 71.19 | 5.18 | 15.66 | 1.04 | 5.93 | 44.43 | 0.02 |
| Z15-32 | 75.98 | 9.95 | 3.63 | 0.20 | 8.88 | 39.43 | 0.01 |
| Z15-33 | 80.48 | 9.55 | 3.99 | 0.19 | 8.76 | 39.71 | 0.02 |
| Z15-34 | 84.54 | 9.00 | 4.64 | 0.25 | 8.66 | 39.55 | 0.02 |
| Z15-35 | 88.46 | 9.16 | 5.96 | 0.36 | 8.30 | 40.82 | 0.02 |
| Z15-36 | 91.73 | 8.46 | 5.83 | 0.42 | 8.69 | 40.97 | 0.02 |
| Z15-37 | 96.95 | 7.06 | 8.96 | 1.02 | 7.67 | 41.53 | 0.02 |
| Z15-38 | 97.39 | 0.24 | 0.47 | 0.09 | 13.93 | 40.57 | 0.07 |
| Z15-39 | 97.75 | 0.09 | 0.21 | 0.05 | 13.23 | 37.22 | 0.07 |
| Z15-40 | 98.19 | 0.08 | 0.17 | 0.04 | 13.84 | 39.38 | 0.06 |
| Z15-41 | 98.48 | 0.04 | 0.20 | 0.04 | 13.43 | 38.77 | 0.06 |
| Z15-42 | 99.06 | 0.06 | 0.21 | 0.04 | 13.00 | 37.65 | 0.12 |
| Z15-43 | 99.49 | 0.07 | 0.24 | 0.04 | 13.59 | 39.23 | 0.12 |
| Z15-44 | 100.00 | 0.07 | 0.17 | 0.02 | 13.35 | 37.70 | 0.15 |
Table 10
Analysis of trace element compositions in solid phase at 15 ℃"
| 编号 | 蒸失率/ % | 各物质的含量/(μg·g-1) | ||||||
|---|---|---|---|---|---|---|---|---|
| Li+ | B2O3 | Rb+ | Sr2+ | Cs+ | Br- | I- | ||
| Z15-23 | 15.82 | 25.60 | 130.77 | 1.20 | 10.78 | 0.01 | 6.48 | 0.12 |
| Z15-24 | 24.17 | 30.20 | 197.94 | 1.27 | 12.34 | 0.01 | 7.39 | 0.11 |
| Z15-25 | 29.83 | 27.12 | 197.50 | 1.51 | 13.95 | 0.02 | 7.10 | 0.10 |
| Z15-26 | 34.62 | 31.04 | 188.55 | 1.45 | 15.07 | 0.02 | 7.58 | 0.10 |
| Z15-27 | 40.93 | 34.16 | 192.64 | 1.78 | 18.12 | 0.02 | 10.91 | 0.10 |
| Z15-28 | 47.24 | 35.69 | 188.45 | 2.07 | 38.71 | 0.02 | 11.66 | 0.08 |
| Z15-29 | 53.48 | 29.52 | 150.71 | 1.55 | 82.23 | 0.02 | 9.63 | 0.10 |
| Z15-30 | 64.66 | 28.83 | 140.09 | 1.92 | 227.17 | 0.02 | 9.40 | 0.08 |
| Z15-31 | 71.19 | 46.82 | 201.86 | 24.14 | 181.62 | 0.08 | 15.88 | 0.10 |
| Z15-32 | 75.98 | 43.21 | 184.10 | 41.35 | 37.27 | 0.15 | 19.53 | 0.10 |
| Z15-33 | 80.48 | 46.83 | 224.21 | 25.92 | 41.28 | 0.15 | 19.28 | 0.11 |
| Z15-34 | 84.54 | 51.36 | 238.62 | 15.44 | 70.22 | 0.14 | 20.76 | 0.12 |
| Z15-35 | 88.46 | 35.93 | 186.16 | 9.80 | 120.86 | 0.14 | 18.62 | 0.08 |
| Z15-36 | 91.73 | 45.68 | 225.34 | 5.55 | 162.24 | 0.14 | 21.92 | 0.16 |
| Z15-37 | 96.95 | 41.83 | 168.33 | 2.98 | 452.27 | 0.14 | 18.38 | 0.10 |
| Z15-38 | 97.39 | 88.81 | 335.72 | 0.23 | 63.40 | 0.01 | 34.30 | 0.15 |
| Z15-39 | 97.75 | 99.40 | 379.43 | 0.11 | 39.01 | 0.01 | 35.35 | 0.19 |
| Z15-40 | 98.19 | 84.76 | 357.90 | 0.13 | 27.90 | 0.01 | 33.79 | 0.18 |
| Z15-41 | 98.48 | 75.44 | 319.65 | 0.15 | 32.87 | 0.01 | 27.98 | 0.12 |
| Z15-42 | 99.06 | 139.80 | 593.81 | 0.12 | 22.80 | 0.01 | 35.53 | 0.24 |
| Z15-43 | 99.49 | 124.08 | 576.44 | 0.11 | 26.58 | 0.01 | 36.87 | 0.19 |
| Z15-44 | 100.00 | 165.22 | 623.93 | 0.21 | 12.08 | 0.02 | 42.36 | 0.28 |
Table 11
Analysis of major element compositions in liquid phase at 25 ℃"
| 编号 | 蒸失率/ % | 各物质的质量浓度/(g·L-1) | |||||
|---|---|---|---|---|---|---|---|
| K+ | Na+ | Ca2+ | Mg2+ | Cl- | SO42- | ||
| Z25-1 | 0 | 10.35 | 43.43 | 1.02 | 51.56 | 217.53 | 4.76 |
| Z25-2 | 46.93 | 16.31 | 22.07 | 0.78 | 68.57 | 240.72 | 5.03 |
| Z25-3 | 67.95 | 18.61 | 10.41 | 0.47 | 82.94 | 272.35 | 5.14 |
| Z25-4 | 71.35 | 9.68 | 7.22 | 0.42 | 91.90 | 281.26 | 5.50 |
| Z25-5 | 86.38 | 1.56 | 2.66 | 0.16 | 109.50 | 321.03 | 6.19 |
| Z25-6 | 91.45 | 0.66 | 1.54 | 0.12 | 121.72 | 342.59 | 8.48 |
Table 12
Analysis of trace element compositions in liquid phase at 25 ℃"
| 编号 | 蒸失率/% | 各物质的质量浓度/(mg·L-1) | 密度/(g·mL-1) | ||||||
|---|---|---|---|---|---|---|---|---|---|
| Li+ | B2O3 | Rb+ | Sr2+ | Cs+ | Br- | I- | |||
| Z25-1 | 0 | 82.20 | 312.68 | 3.44 | 29.10 | 0.03 | 17.60 | 0.36 | 1.228 8 |
| Z25-2 | 46.93 | 147.00 | 373.54 | 4.77 | 36.30 | 0.05 | 21.20 | 0.35 | 1.253 7 |
| Z25-3 | 67.95 | 175.00 | 473.36 | 5.63 | 37.80 | 0.05 | 27.90 | 0.41 | 1.279 2 |
| Z25-4 | 71.35 | 197.00 | 531.33 | 1.87 | 37.30 | 0.03 | 29.60 | 0.46 | 1.287 0 |
| Z25-5 | 86.38 | 233.00 | 673.01 | 0.10 | 25.30 | 0.01 | 36.60 | 0.54 | 1.323 0 |
| Z25-6 | 91.45 | 350.00 | 914.53 | 0.03 | 15.40 | 0.01 | 43.90 | 0.70 | 1.347 3 |
Table 13
Analysis of main element compositions in solid phase at 25 ℃"
| 编号 | 蒸失率/ % | 各物质的质量分数/% | |||||
|---|---|---|---|---|---|---|---|
| K+ | Na+ | Ca2+ | Mg2+ | Cl- | SO42- | ||
| Z25-7 | 46.93 | 0.68 | 29.20 | 0.09 | 2.91 | 52.77 | 0.34 |
| Z25-8 | 67.95 | 1.08 | 23.46 | 0.99 | 4.21 | 48.09 | 2.61 |
| Z25-9 | 71.35 | 7.07 | 3.47 | 0.29 | 9.70 | 37.73 | 0.95 |
| Z25-10 | 86.38 | 8.39 | 3.83 | 0.25 | 9.22 | 37.91 | 0.76 |
| Z25-11 | 91.45 | 0.36 | 0.59 | 0.06 | 11.90 | 33.54 | 0.47 |
| Z25-12 | 100.00 | 0.07 | 0.19 | 0.03 | 12.34 | 33.90 | 0.37 |
Table 14
Analysis of trace element compositions in solid phase at 25 ℃"
| 编号 | 蒸失率/% | 各物质的含量/(μg·g-1) | ||||||
|---|---|---|---|---|---|---|---|---|
| Li+ | B2O3 | Rb+ | Sr2+ | Cs+ | Br- | I- | ||
| Z25-7 | 46.93 | 51.20 | 167.13 | 2.40 | 26.90 | 0.12 | 11.40 | 0.18 |
| Z25-8 | 67.95 | 71.10 | 234.43 | 3.86 | 166.00 | 0.09 | 17.00 | 0.24 |
| Z25-9 | 71.35 | 86.80 | 311.07 | 32.90 | 71.20 | 0.21 | 24.80 | 0.27 |
| Z25-10 | 86.38 | 57.00 | 204.16 | 18.50 | 93.50 | 0.26 | 22.30 | 0.21 |
| Z25-11 | 91.45 | 107.00 | 392.86 | 0.39 | 42.80 | 0.03 | 33.50 | 0.32 |
| Z25-12 | 100.00 | 107.00 | 379.98 | 0.11 | 28.60 | 0.01 | 36.80 | 0.31 |
| [1] | 罗婷,张永庆,郑明贵,等.中国钾盐资源安全评估与预警研究[J].地球科学进展,2022,37(6):575-587. |
| LUO Ting, ZHANG Yongqing, ZHENG Minggui,et al.Security assessment and early warning of potash resources in China[J].Advances in Earth Science,2022,37(6):575-587. | |
| [2] | 熊增华,王石军.中国钾资源开发利用技术及产业发展综述[J].矿产保护与利用,2020,40(6):1-7. |
| XIONG Zenghua, WANG Shijun.Overview of potassium resources exploitation & utilization technology and potash industry development[J].Conservation and Utilization of Mineral Resources,2020,40(6):1-7. | |
| [3] | 白燕祥,王松博,国爽,等.青海柴达木盆地盐湖资源元素利用及研究现状[J].盐科学与化工,2023,52(3):1-6,19. |
| BAI Yanxiang, WANG Songbo, GUO Shuang,et al.Utilization and research status of salt lake resources in Qaidam basin,Qinghai[J].Journal of Salt Science and Chemical Industry,2023,52(3):1-6,19. | |
| [4] | 张苏江,张琳,姜爱玲,等.中国盐湖资源开发利用现状与发展建议[J].无机盐工业,2022,54(10):13-21. |
| ZHANG Sujiang, ZHANG Lin, JIANG Ailing,et al.Current situation and development suggestions of development and utilization of salt lake resources in China[J].Inorganic Chemicals Industry,2022,54(10):13-21. | |
| [5] | 乔东慧,王士强,郭亚飞,等.我国盐湖卤水蒸发利用研究进展[J].世界科技研究与发展,2012,34(2):223-225,264. |
| QIAO Donghui, WANG Shiqiang, GUO Yafei,et al.Progresses on evaporating experiments of salt lake brines in China[J].World Sci-Tech R&D,2012,34(2):223-225,264. | |
| [6] | 王文祥,李文鹏,刘振英,等.别勒滩低品位钾盐固液转化试验水动力与水化学条件分析[J].中国矿业,2013,22(7):114-119. |
| WANG Wenxiang, LI Wenpeng, LIU Zhenying,et al.Hydrodynamic and hydrochemical condition analysis of low grade solid potassium liquefy exploitation experiment[J].China Mining Magazine,2013,22(7):114-119. | |
| [7] | 熊增华,王石军.察尔汗盐湖资源开发利用现状及关键技术进展[J].化工矿物与加工,2021,50(1):33-37. |
| XIONG Zenghua, WANG Shijun.Status and progress on key technologies for development and utilization of resources in Qarhan salt lake[J].Industrial Minerals & Processing,2021,50(1):33-37. | |
| [8] | 张宇萌,胡宇飞,王笛,等.察尔汗盐湖别勒滩区段固态锂的赋存状态与分布特征[J].矿床地质,2023,42(1):77-89. |
| ZHANG Yumeng, HU Yufei, WANG Di,et al.Occurrence state and distribution characteristics of solid lithium in Bieletan section of Qarhan Salt Lake[J].Mineral Deposits,2023,42(1):77-89. | |
| [9] | 武丽平,袁红战,靳芳.鸭湖构造深部卤水自然蒸发实验研究[J].无机盐工业,2022,54(11):71-78. |
| WU Liping, YUAN Hongzhan, JIN Fang.Study on natural evaporation experimental of deep brine in Yahu structure[J].Inorganic Chemicals Industry,2022,54(11):71-78. | |
| [10] | 李志伟,付振海,张志宏,等.察尔汗盐湖卤水蒸发速度影响因素的量化研究[J].盐湖研究,2022,30(1):57-67. |
| LI Zhiwei, FU Zhenhai, ZHANG Zhihong,et al.Quantification of factors on the evaporation rate of qarhan salt lake brine[J].Journal of Salt Lake Research,2022,30(1):57-67. | |
| [11] | 曲阳,杜威,闫泽,等.西台吉乃尔盐湖兑卤卤水10℃和30℃蒸发析盐规律[J].盐科学与化工,2023,52(3):20-24. |
| QU Yang, DU Wei, YAN Ze,et al.The evaporative crystallization rules of salts from mixing brine at 10 ℃ and 30 ℃ in the west taijinar salt lake[J].Journal of Salt Science and Chemical Industry,2023,52(3):20-24. | |
| [12] | 苏建军,曾英,李陇岗,等.西台吉乃尔盐湖析钾老卤及冻卤25 ℃等温蒸发实验研究[J].无机盐工业,2022,54(5):84-89,95. |
| SU Jianjun, ZENG Ying, LI Longgang,et al.Study on isothermal evaporation of potassium-extracted old brine and frozen brine in West Taijinar Salt Lake at 25 ℃[J].Inorganic Chemicals Industry,2022,54(5):84-89,95. | |
| [13] | 张颖慧.察尔汗盐湖晶间卤水等温蒸发试验[J].化工地质,1985,7(1):33-36. |
| ZHANG Yinghui.Isothermal evaporation test of intercrystalline brine in Chaerhan Salt Lake[J].Geology of Chemical Minerals,1985,7(1):33-36. | |
| [14] | 唐发满,杨红军,张生鹏,等.一里坪盐湖夏季卤水25 ℃等温蒸发[J].无机盐工业,2021,53(10):52-58. |
| TANG Faman, YANG Hongjun, ZHANG Shengpeng,et al.Isothermal evaporation of summer brine of yiliping salt lake at 25℃[J].Inorganic Chemicals Industry,2021,53(10):52-58. | |
| [15] | 杨游胜,姚智豪,赵志星,等.富锂硫酸盐型盐湖卤水蒸发实验研究进展[J].无机盐工业,2024,56(4):1-7. |
| YANG Yousheng, YAO Zhihao, ZHAO Zhixing,et al.Research progress of lithium-rich sulfate type salt lake brine evaporation experiment[J].Inorganic Chemicals Industry,2024,56(4):1-7. | |
| [16] | 张西营,朱海霞,朱磊,等.不同时间尺度下气象-水文要素变化对察尔汗盐湖盐田蒸发作用的影响[J].盐湖研究,2024,32(1):88-98. |
| ZHANG Xiying, ZHU Haixia, ZHU Lei,et al.The variations of meteorological and hydrological factors across different temporal scales and their influences on evaporation within salt ponds of the qarhan salt lake[J].Journal of Salt Lake Research,2024,32(1):88-98. | |
| [17] | 姜旭,周保华,乜贞.中国盐湖卤水蒸发实验研究进展[J].无机盐工业,2013,45(6):1-3,32. |
| JIANG Xu, ZHOU Baohua, NIE Zhen.Experimental research progress in evaporation of salt lake brine[J].Inorganic Chemicals Industry,2013,45(6):1-3,32. | |
| [18] | 李陇岗.玻利维亚Uyuni盐湖卤水25 ℃等温蒸发实验[J].盐湖研究,2021,29(2):44-49. |
| LI Longgang.Study on the isothermal evaporation of uyuni salt lake brine,Bolivia at 25 ℃[J].Journal of Salt Lake Research,2021,29(2):44-49. |
| [1] | ZHANG Lizhen, YI Yuejun, SHI Lijie, ZHANG Xiufeng, MA Yameng, TAN Xiumin. Study on evaporation and salt crystallization law of deep brine containing potassium in Qinghai [J]. Inorganic Chemicals Industry, 2025, 57(8): 35-40. |
| [2] | YU Xudong, LI Jing, REN Siying, LUO Jun, ZENG Ying. Study on solid-liquid phase equilibrium of Li+,K+,Ca2+//Cl--H2O quaternary system at 298.2 K [J]. Inorganic Chemicals Industry, 2025, 57(3): 30-35. |
| [3] | KONG Lingjie, LI Guangbi, XIE Jiahao, YANG Xinhui, BAI Xiaoqin. Research progress on lithium extraction technology from salt lake brine [J]. Inorganic Chemicals Industry, 2025, 57(1): 14-26. |
| [4] | CHENG Chunchun, LI Yulong, ZHANG Zhiqiang, LIU Xuejing. Study on dissolution crystallization for extraction of potassium and separation of magnesium and lithium from salt lake brine [J]. Inorganic Chemicals Industry, 2024, 56(6): 34-39. |
| [5] | YANG Yousheng, YAO Zhihao, ZHAO Zhixing, FENG Xia, ZENG Ying, YU Xudong. Research progress of lithium-rich sulfate type salt lake brine evaporation experiment [J]. Inorganic Chemicals Industry, 2024, 56(4): 1-7. |
| [6] | SU Xin, LAI Dongmei, ZHOU Yuan, ZHU Xiaping. Study on preparation process of strontium rich functional salt from Zigong underground brine [J]. Inorganic Chemicals Industry, 2024, 56(3): 45-50. |
| [7] | WEI Jincai, CHEN Jingyuan, SONG Guichun, JIA Jiantuan, GONG Guoli. Study on efficiency of liquefaction mining of solid potassium ore in western Qarhan area of Qarhan Salt Lake [J]. Inorganic Chemicals Industry, 2024, 56(3): 70-79. |
| [8] | LI Zhiwei, FU Zhenhai, ZHANG Zhihong, LI Shengting. Prediction model of brine evaporation rate based on back-propagation neural network [J]. Inorganic Chemicals Industry, 2024, 56(1): 53-58. |
| [9] | CHEN Haixia, YAN Hong, SUN Yunlong, MA Guoqiang. Research progress of lithium resource extraction technology [J]. Inorganic Chemicals Industry, 2024, 56(1): 9-22. |
| [10] | FU Yu, DENG Mi, HUANG Donggen, WAN Jinbao. Research progress of lithium extraction technology from salt lake brine [J]. Inorganic Chemicals Industry, 2023, 55(9): 9-16. |
| [11] | LU Nana, QIN Yaru, MA Shuqing, WANG Qihui, LIU Bing, SHI Chenglong. Study on extraction of lithium from simulated old brine of salt lake by pyridine ionic liquid system [J]. Inorganic Chemicals Industry, 2023, 55(7): 45-50. |
| [12] | MA Xue, ZHOU Yuan, HUANG Chao, ZHU Xiaping. Study on preparation process of high purity calcium citrate from Zigong underground yellow brine [J]. Inorganic Chemicals Industry, 2023, 55(4): 60-64. |
| [13] | CUI Xiangmei, PAN Tongtong, LUO Qinglong, BIAN Fuxuan, YE Xiushen. Preparation of amino alcohol modified GO/CNTs composite aerogel and boron adsorption from salt lake brines [J]. Inorganic Chemicals Industry, 2023, 55(12): 59-65. |
| [14] | ZHU Ruisong, CAO Jing, LIU Taoran, LI Yingwen, GAO Fei, HU Xuesheng. Research progress of lithium extraction technology and industrialization of unconventional brines in global [J]. Inorganic Chemicals Industry, 2023, 55(11): 1-11. |
| [15] | LAI Xianrong, CHEN Zhouqin, SUN Hao, YANG Chao. Pilot study on lithium extraction by adsorption from raw brine of magnesium sulfate subtype salt lakes in Tibet [J]. Inorganic Chemicals Industry, 2023, 55(11): 86-92. |
| Viewed | ||||||
|
Full text |
|
|||||
|
Abstract |
|
|||||
|
||
Copyright © 2021 Editorial Office of Inorganic Chemicals Industry
Add:No.3 Road Dingzigu,Hongqiao District,Tianjin,China
E-mail:book@wjygy.com.cn 违法和不良信息举报电话: 022-26689297