Inorganic Chemicals Industry ›› 2025, Vol. 57 ›› Issue (9): 117-124.doi: 10.19964/j.issn.1006-4990.2024-0598

• Catalytic Materials • Previous Articles     Next Articles

Study on NO removal performance of B/C3N5 photocatalytic epoxy self-cleaning coating on concrete surface

HU Pingping(), HE Xiaozhi   

  1. The Nine Engineering Co. ,Ltd. of CCCC First Highway Engineering Co. ,Ltd. ,Guangzhou 511358,China
  • Received:2024-10-31 Online:2025-09-10 Published:2025-05-13

Abstract:

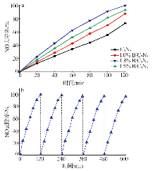
In order to solve the problem of NO accumulation in automobile exhaust gas caused by poor air circulation in the tunnel,resulting in environmental pollution,B-doping nitrogen-rich carbon nitride(B/C3N5) composites were prepared by evaporation solvent in-situ thermal polymerization firstly.After B doping,B—N bonds were formed by replacing C atoms instead of replacing N atoms to form B—C bonds.After B doping,the efficient separation of photogenerated carriers was achieved,and the fluorescence lifetime of photogenerated carriers was extended,showing good visible light NO removal activity.The NO removal rate reached 97.36% within 2 h of visible light irradiation.A self-cleaning emulsion was synthesized by using epoxy resin E-44 as a film-forming matrix,B/C3N5 composite material as an active center,and low surface energy organic fluorosilicone as a functional monomer.The emulsion was sprayed onto the surface of concrete by spraying method to form a B/CN self-cleaning coating.The coating showed good superhydrophobic and oleophobic properties,and the static water contact angle of the 1.3% B/CN coating reached 160.2°.After 7 d of UV irradiation,the static water contact angle of the coating was still higher than 150° after 30 times of sandpaper abrasion and 15 times of water-oil impact,and the coating showed good durability.The self-cleaning coating showed excellent visible light NO removal activity.After 2 h of visible light irradiation,the 1.3% B/CN coating almost completely removed NO,and the removal rate reached 99.98%.After 5 cycles of use,the NO removal activity was still higher than 96.00%,which was suitable for the degradation of harmful NO gas from automobile exhaust on the inner wall of tunnel concrete.

Key words: B-doped C3N5 composites, self-cleaning coating, photocatalysis, NO removal

CLC Number: