Inorganic Chemicals Industry ›› 2025, Vol. 57 ›› Issue (10): 103-110.doi: 10.19964/j.issn.1006-4990.2024-0531
• Environment·Health·Safety • Previous Articles Next Articles
CHEN Haijie1(
), MA Xiaoyue1, WEI Xin1, SUN Congcong2, YU Zikai2, YANG Jing2(
), WANG Yanfei2(
)
Received:2024-10-09
Online:2025-10-10
Published:2025-10-27
Contact:
YANG Jing, WANG Yanfei
E-mail:chenhj@dteg.com.cn;yang_J@tust.edu.cn;wangyanfei@tust.edu.cn
CLC Number:
CHEN Haijie, MA Xiaoyue, WEI Xin, SUN Congcong, YU Zikai, YANG Jing, WANG Yanfei. Study on evaporation and concentration characteristics of desulfurization wastewater[J]. Inorganic Chemicals Industry, 2025, 57(10): 103-110.
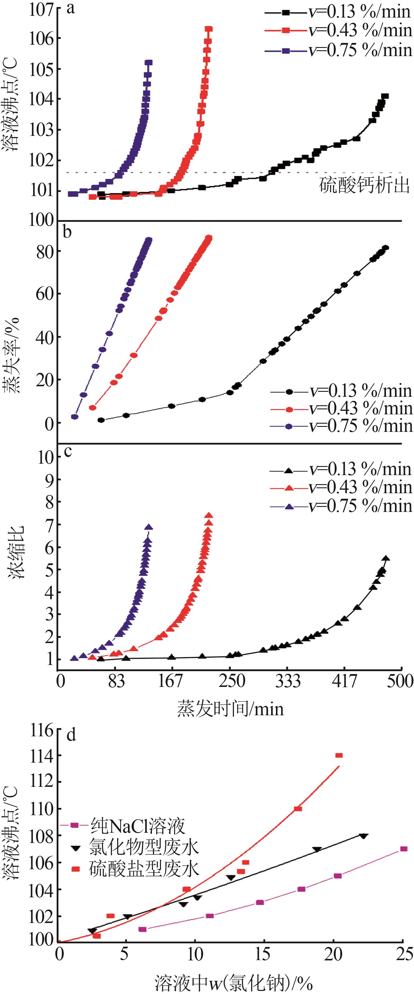
Table 1
Compositions of wastewater"
| 样品 | 质量浓度/(mg·L-1) | 浓度/(mol·L-1) | pH | 密度/(g·L-1) | 总溶解 固体(TDS)/% | 悬浮物(SS)/% | |||||||||||
|---|---|---|---|---|---|---|---|---|---|---|---|---|---|---|---|---|---|
| K+ | Ca2+ | Mg2+ | Na+ | SO42- | Cl- | K+ | Ca2+ | Mg2+ | Na+ | SO42- | Cl- | ||||||
| 氯化物型废水 | 1 490 | 3 660 | 2 764 | 10 060 | 2 120 | 19 140 | 0.038 1 | 0.091 3 | 0.113 7 | 0.437 6 | 0.022 1 | 0.539 9 | 5.89 | 1 020 | 4.57 | 1.11 | |
| 硫酸盐型废水 | 1 700 | 970 | 4 620 | 6 640 | 4 130 | 18 410 | 0.043 5 | 0.024 2 | 0.190 0 | 0.288 8 | 0.043 0 | 0.519 3 | 5.79 | 1 028 | 4.11 | 0.82 | |
| [1] | 胡大龙,余耀宏,于胜利,等.燃煤电厂脱硫废水处理技术现状与发展[J].工业水处理,2023,43(2):43-52. |
| HU Dalong, YU Yaohong, YU Shengli,et al.Present situation and development of treatment technology for desulfurization wastewater in coal-fired power station[J].Industrial Water Treatment,2023,43(2):43-52. | |
| [2] | 李鹏.脱硫废水的零排放处理技术应用[J].电子技术,2022,51(6):224-225. |
| LI Peng.Application of zero-discharge treatment technology for desulfurization wastewater[J].Electronic Technology,2022,51(6):224-225. | |
| [3] | 张娟,曹兆军,史海红,等.燃煤电厂脱硫废水分型与浓缩过程的盐类析出规律[J].动力工程学报,2022,42(1):67-74. |
| ZHANG Juan, CAO Zhaojun, SHI Haihong,et al.Salt precipitation behaviors of classification and concentration process for desulfurization wastewater in coal-fired power stations[J].Journal of Chinese Society of Power Engineering,2022,42(1):67-74. | |
| [4] | 靳苏娜,吕瑞亮.湿法脱硫废水处理技术研究及应用进展[J].无机盐工业,2023,55(4):27-37. |
| JIN Suna, Ruiliang LÜ.Research and application progress of wet flue gas desulfurization wastewater treatment technology[J].Inorganic Chemicals Industry,2023,55(4):27-37. | |
| [5] | NI Tingting, WANG Yunzhong, HUANG Chenghui,et al.Limestone-gypsum wet flue gas desulfurization wastewater treatment[J].IOP Conference Series:Earth and Environmental Science,2021,651(4):042034. |
| [6] | HAN Xiaoqu, ZHANG Dan, YAN Junjie,et al.Process development of flue gas desulphurization wastewater treatment in coal-fired power plants towards zero liquid discharge:Energetic,economic and environmental analyses[J].Journal of Cleaner Production,2020,261:121144. |
| [7] | 詹凌霄,陈恒,赵宁,等.工业高盐废水液滴蒸发特性研究进展[J].水处理技术,2022,48(4):1-5. |
| ZHAN Lingxiao, CHEN Heng, ZHAO Ning,et al.Research progresses of evaporation characteristics of industrial wastewater droplets with high salinity[J].Technology of Water Treatment,2022,48(4):1-5. | |
| [8] | 刘静颖,贾阳杰,杨凤玲,等.燃煤电厂脱硫废水零排放预处理工艺研究进展[J].无机盐工业,2023,55(12):12-25. |
| LIU Jingying, JIA Yangjie, YANG Fengling,et al.Research progress of zero liquid discharge pretreatment process for flue gas desulfurization wastewater from coal-fired power plants[J].Inorganic Chemicals Industry,2023,55(12):12-25. | |
| [9] | 马双忱,于伟静,贾绍广,等.燃煤电厂脱硫废水处理技术研究与应用进展[J].化工进展,2016,35(1):255-262. |
| MA Shuangchen, YU Weijing, JIA Shaoguang,et al.Research and application progresses of flue gas desulfurization(FGD) wastewater treatment technologies in coal-fired plants[J].Chemical Industry and Engineering Progress,2016,35(1):255-262. | |
| [10] | 张娟,夏攀平,郝晴,等.燃煤电厂脱硫废水全浓缩过程析盐规律的模型化[J].盐科学与化工,2022,51(11):4-9. |
| ZHANG Juan, XIA Panping, HAO Qing,et al.Modeling salt precipitation behaviors in the whole concentration process of desulfurization wastewater from coal-fired power plant[J].Journal of Salt Science and Chemical Industry,2022,51(11):4-9. | |
| [11] | 高红龙,杨文生,高磊,等.低温三效蒸发工艺中脱硫废水蒸发特性研究[J].工业水处理,2024,44(1):132-137. |
| GAO Honglong, YANG Wensheng, GAO Lei,et al.Evaporation characteristics of desulfurization wastewater in low temperature three effect evaporation process[J].Industrial Water Treatment,2024,44(1):132-137. | |
| [12] | WANG Yurui, ZHAN Lingxiao, CHEN Heng,et al.Study on the evaporation performance of concentrated desulfurization wastewater and its products analysis[J].Journal of Water Process Engineering,2024,58:104862. |
| [13] | SHI Wenxiao, LIN Chen, CHEN Wei,et al.Environmental effect of current desulfurization technology on fly dust emission in China[J].Renewable and Sustainable Energy Reviews,2017,72:1-9. |
| [14] | JIANG Binfan, XIE Yulei, XIA Dehong,et al.A potential source for PM2.5:Analysis of fine particle generation mechanism in wet flue gas desulfurization system by modeling drying and breakage of slurry droplet[J].Environmental Pollution,2019,246:249- 256. |
| [15] | 谷东杰,刘倩.固体废物中氟离子、溴酸根、氯离子、亚硝酸根、溴离子、硝酸根、磷酸根、硫酸根的离子色谱法测定[J].山东化工,2020,49(8):114-117. |
| GU Dongjie, LIU Qian.Solid waste-determination of fluoride,bromate,chloride,nitrite,bromine,nitrate,phosphate,sulfate-ion chromatography method[J].Shandong Chemical Industry,2020,49(8):114-117. | |
| [16] | 张晓明.离子色谱法同时测定复方电解质眼内冲洗液中不同阳离子含量[J].应用化工,2019,48(3):736-739. |
| ZHANG Xiaoming.Simultaneous determination of different cations content of inorganic salt in compound electrolyte intraocular irrigating solution by ion chromatography[J].Applied Chemical Industry,2019,48(3):736-739. | |
| [17] | HAN Xiaoqu, YUAN Tianrun, ZHANG Dan,et al.Waste heat utilization from boiler exhaust gases for zero liquid discharge of desulphurization wastewater in coal-fired power plants:Thermodynamic and economic analysis[J].Journal of Cleaner Production,2021,308:127328. |
| [18] | 王可苗.Ca-Mg-K-Cl-H2O盐溶液体系中硫酸钙的结晶过程[D].武汉:武汉科技大学,2013. |
| WANG Kemiao.Crystallization process of calcium sulfate in the Ca-Mg-K-Cl-H2O salt solution system[D].Wuhan:Wuhan University of Science and Technology,2013. | |
| [19] | GLATER J, MURDIA K S, DOOLY R.Calcium sulfate hemihydrate scaling threshold enhancement by magnesium ion augmentation[J].Desalination,1974,14(2):197-207. |
| [20] | 邓天龙,周桓,陈侠.水盐体系相图及应用[M].北京:化学工业出版社,2013. |
| DENG Tianlong, ZHOU Huan, CHEN Xia.Phase diagrams of water-salt systems and their applications[M].Beijing:Chemical Industry Press,2013. | |
| [21] | FANG Jiamei, SHI Chengcheng, ZHANG Lin,et al.Kinetic characteristics of evaporative crystallization desalination of acidic high-salt wastewater[J].Chemical Engineering Research and Design,2022,187:129-139. |
| [22] | 赖富国,高国华,肖燕飞,等.氯-硫酸盐体系下硫酸钙溶解度相图的研究进展[J].无机盐工业,2018,50(8):16-21. |
| LAI Fuguo, GAO Guohua, XIAO Yanfei,et al.Research progress on solubility phase diagrams of calcium sulfate in chloride-sulfate solutions[J].Inorganic Chemicals Industry,2018,50(8):16-21. |
| [1] | RAO Jiahuan, WEI Jiazhan, DENG Lian, JING Daiyan. Research progress on preparation of calcium sulfate whisker from industrial by⁃product gypsum under atmospheric pressure [J]. Inorganic Chemicals Industry, 2025, 57(5): 46-54. |
| [2] | LI Xuelian, TANG Zihan, XU Jie, LI Xiong. Study on performance of calcium sulfate whisker/SBS composite modified asphalt [J]. Inorganic Chemicals Industry, 2024, 56(9): 82-89. |
| [3] | DING Xiaojiang, WU Yanni, LI Boyun, HUANG Youliang. Research on preparation of carnallite concentrate by pretreatment combined with reverse flotation [J]. Inorganic Chemicals Industry, 2024, 56(12): 113-119. |
| [4] | LI Shan, ZHANG Daping, YANG Xiushan, ZHAO Qiang, KONG Xingjian. Study on transfer laws of phosphorus and fluorine impurities during producing calcium sulfide through sulfur reduction decomposition of phosphogypsum [J]. Inorganic Chemicals Industry, 2024, 56(10): 110-117. |
| [5] | JIN Suna, LÜ Ruiliang. Research and application progress of wet flue gas desulfurization wastewater treatment technology [J]. Inorganic Chemicals Industry, 2023, 55(4): 27-37. |
| [6] | LIU Jingying, JIA Yangjie, YANG Fengling, REN Lei, LI Pengfei, WANG Fei, CHENG Fangqin. Research progress of zero liquid discharge pretreatment process for flue gas desulfurization wastewater from coal-fired power plants [J]. Inorganic Chemicals Industry, 2023, 55(12): 12-25. |
| [7] | HE Lei,ZHU Ganyu,ZHENG Guangming,WU Wenfen,ZhANG Jianbo,LI Fang,LI Huiquan,CHEN Wen. Study on crystallization process and mechanism of phosphogypsum in wet process phosphoric acid system [J]. Inorganic Chemicals Industry, 2022, 54(7): 110-116. |
| [8] | MA Lei,SHENG Yu,ZHOU Junhong,YANG Yujun,LUO Hui,PAN Chunying,WANG Guo. Study on new process of comprehensive utilization and separation of sulfur and calcium of titanium gypsum [J]. Inorganic Chemicals Industry, 2022, 54(7): 124-128. |
| [9] | LI Ming,LI Zhili,ZHANG Zeqiang,HE Dongsheng,TANG Yuan,CHEN Fei. Preparation of calcium sulfate whiskers assisted by mixed sodium fatty acid [J]. Inorganic Chemicals Industry, 2022, 54(6): 66-72. |
| [10] | MAO Xinyu,WANG Yubin,WANG Wenwen,LI Shuqin,MA Xiaoxiao. Effect of alternating external magnetic field on the dissolution behavior of calcium sulfate scale and its mechanism [J]. Inorganic Chemicals Industry, 2022, 54(3): 97-101. |
| [11] | QI Yuanhao,WU Jinxiu,LIU Zhaogang,HU Yanhong,FENG Fushan,LI Jianfei,WANG Xin,LIU Conglin. Preparation and characterization of anhydrous calcium sulfate whisker [J]. Inorganic Chemicals Industry, 2022, 54(10): 109-115. |
| [12] | MU Hong,ZHOU Guiyun,HU Haiyang. Study on process of preparing calcium sulfate whiskers from phosphate rock acid hydrolysis solution [J]. Inorganic Chemicals Industry, 2022, 54(1): 51-55. |
| [13] | LI Zheng,HU Meng,DOU Yan,CUI Peng,SHEN Hao,ZHENG Zhiyin,LIU Rong. Effect of sodium oxalate on stability of calcium sulfate hemihydrate crystal [J]. Inorganic Chemicals Industry, 2022, 54(1): 62-65. |
| [14] | Zhang Lizhen,Lü Zihu,Zhang Yongxing,Wu Zhaoyang,Zhang Xiufeng,Tan Xiumin. Experimental study on improving quality and reducing impurity of phosphogypsum [J]. Inorganic Chemicals Industry, 2021, 53(6): 171-173. |
| [15] | Xu Wei,Li Mei,Zhang Dongliang,Gao Kai,Li Jianfei. Study on preparation of calcium sulfate whisker by atmospheric pressure acidification using rare earth gypsum [J]. Inorganic Chemicals Industry, 2020, 52(8): 66-71. |
| Viewed | ||||||
|
Full text |
|
|||||
|
Abstract |
|
|||||
|
||
Copyright © 2021 Editorial Office of Inorganic Chemicals Industry
Add:No.3 Road Dingzigu,Hongqiao District,Tianjin,China
E-mail:book@wjygy.com.cn 违法和不良信息举报电话: 022-26689297