Inorganic Chemicals Industry ›› 2025, Vol. 57 ›› Issue (12): 114-122.doi: 10.19964/j.issn.1006-4990.2024-0168

• Catalytic Materials • Previous Articles     Next Articles

Study on nitrogen-doped carbon material-modified co-based mesoporous silica and catalytic hydroformylation of mixed C4 olefins

LIU Ye1(), LI Jin2, GU Jiaming2, LI Jixia2, LIU Hangyu2, WANG Benlei2, WANG Pengfei2, TIAN Xilei2, LI Chen2()   

  1. 1. National Energy Group Xinjiang Hami Energy and Chemical Co. ,Ltd. ,Hami 839303,China
    2. CNOOC Tianjin Chemical Research & Design Institute Co. ,Ltd. ,Tianjin 300131,China
  • Received:2025-04-15 Online:2025-12-10 Published:2025-12-29
  • Contact: LI Chen E-mail:346940400@qq.com;lichen9007@163.com

Abstract:

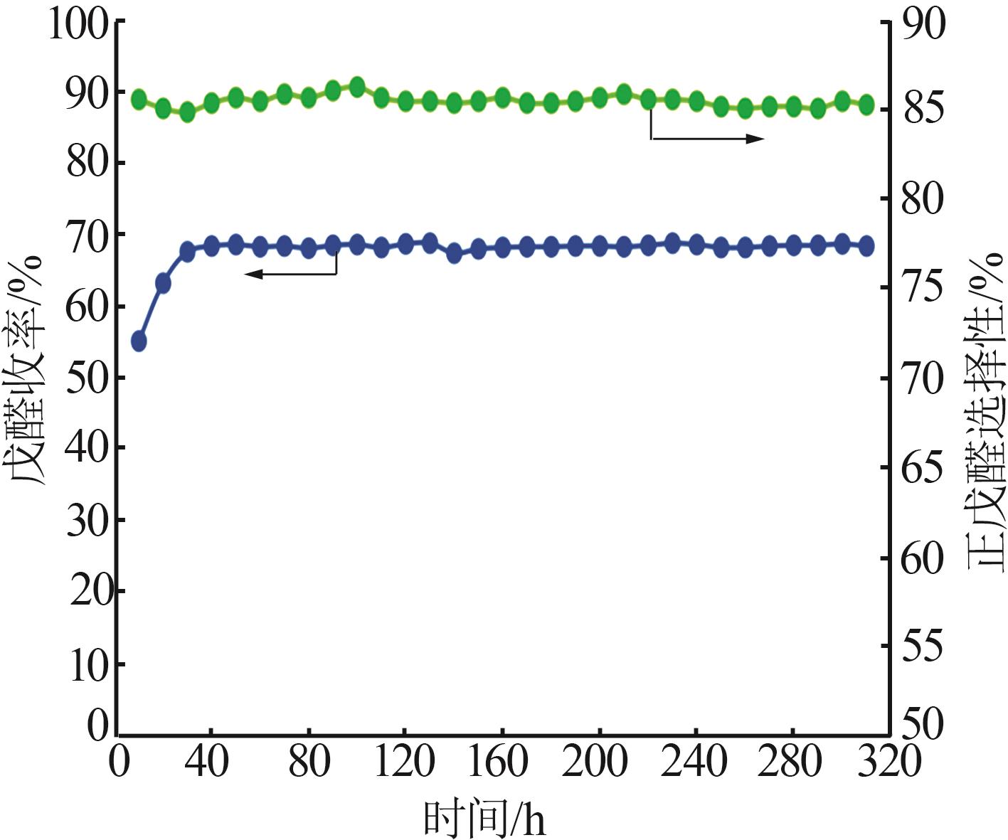
Considering the challenges of traditional homogeneous olefin hydroformylation processes,such as difficult product separation,metal leaching,and the insufficient catalytic activity and selectivity of conventional supported heterogeneous catalysts,a series of nitrogen/phosphorus-doped carbon material in-situ modified Co-based mesoporous silica catalysts(Co/L@SiO2) were synthesized.The synthesis process involved using Co as the active metal to coordinate with organic nitrogen/phosphorus compounds for preparing catalyst precursors,which were then loaded onto mesoporous silica,followed by high-temperature calcination and reduction.The composition,structure,and morphology of the catalysts were characterized using inductively coupled plasma optical emission spectrometry(ICP-OES),X-ray photoelectron spectroscopy(XPS),transmission electron microscopy(TEM),N2 physical adsorption,and Raman spectroscopy.The results demonstrated that the Co/Py@SiO2 catalyst,synthesized with pyridine as the precursor ligand,exhibited a specific surface area of 618.76 m2/g,with uniform mesopores averaging approximately 3.6 nm in size.The catalyst contained 0.92%~0.94% metallic Co,with an average Co particle size of 6.4 nm and almost no agglomeration.Compared with Co@SiO2,the nitrogen-doped Co/Py@SiO2 catalyst showed a significant improvement in the selectivity toward n-valeraldehyde in the hydroformylation of mixed C4 hydrocarbons,increasing from 57.3% to 85.2%.The Co/Py@SiO2 catalyst maintained stable activity and selectivity in fixed-bed continuous evaluation experiments.This study provided a practical approach to improve the reactivity and selectivity of heterogeneous hydroformylation catalysts,showing potential for industrial application.

Key words: n-valeraldehyde, nitrogen-doped carbon materials, silica, ligand, heterogeneous catalyst

CLC Number: