无机盐工业 ›› 2026, Vol. 58 ›› Issue (2): 83-91.
郑瑞凯1,2(
), 易芸1,2, 刘秋美3, 杨林1,4, 曹建新1,4(
)
ZHENG Ruikai1,2(
), YI Yun1,2, LIU Qiumei3, YANG Lin1,4, CAO Jianxin1,4(
)
摘要:
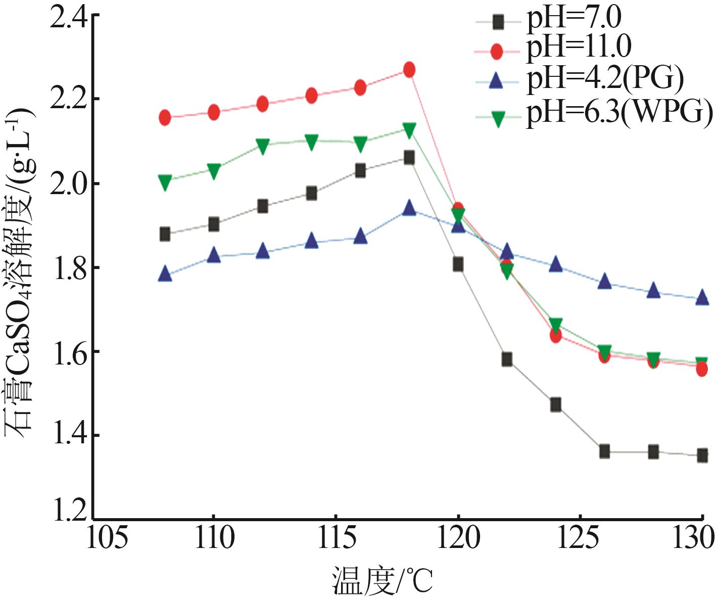
研究饱和蒸气压环境下二水石膏水热法制备α-半水石膏的溶解重结晶过程中物相组成的变化及其影响因素,为磷石膏水热法制备α-半水石膏提供一定的参考。使用多种石膏作为原料,在水热体系中探究升温速率、组分及pH对制备α-半水石膏过程的影响,并采用X射线衍射(XRD)、扫描电镜(SEM)等表征手段分析石膏的转晶过程。研究结果表明:磷石膏水热反应最佳升温速率为0.1 ℃/min;在108~130 ℃时,天然石膏、水洗磷石膏、原状磷石膏、石灰改性磷石膏的硫酸钙溶解度总体上均呈现先缓慢增大后减小并逐渐稳定的变化趋势,同时均在118 ℃左右发生转晶;在相同保温条件下,原状磷石膏溶解重结晶生成α-半水石膏的速率比天然石膏与水洗磷石膏更慢、转化率更低,石灰改性磷石膏则具有与水洗磷石膏相似的溶解重结晶行为。磷石膏中所含水溶性杂质是干扰石膏溶解转晶过程的主要因素,通过水洗或石灰中和对磷石膏进行预处理后,其转晶行为与天然石膏类似。
中图分类号: