Inorganic Chemicals Industry ›› 2025, Vol. 57 ›› Issue (12): 26-33.doi: 10.19964/j.issn.1006-4990.2024-0682

• Research & Development • Previous Articles     Next Articles

Effect of lithium supplementation on structure and properties of directly recycled waste ternary cathode materials

LUO Bingxin(), WU Yani, LIU Zhenzhen, CHEN Xiaopan, PAN Wuxue, WANG Yuying, ZHOU Dongling, WEN Yanxuan   

  1. School of Chemistry and Chemical Engineering,Guangxi University,Nanning 530004,China
  • Received:2024-12-17 Online:2025-12-10 Published:2025-05-13
  • Contact: WEN Yanxuan E-mail:m15676731830@163.com

Abstract:

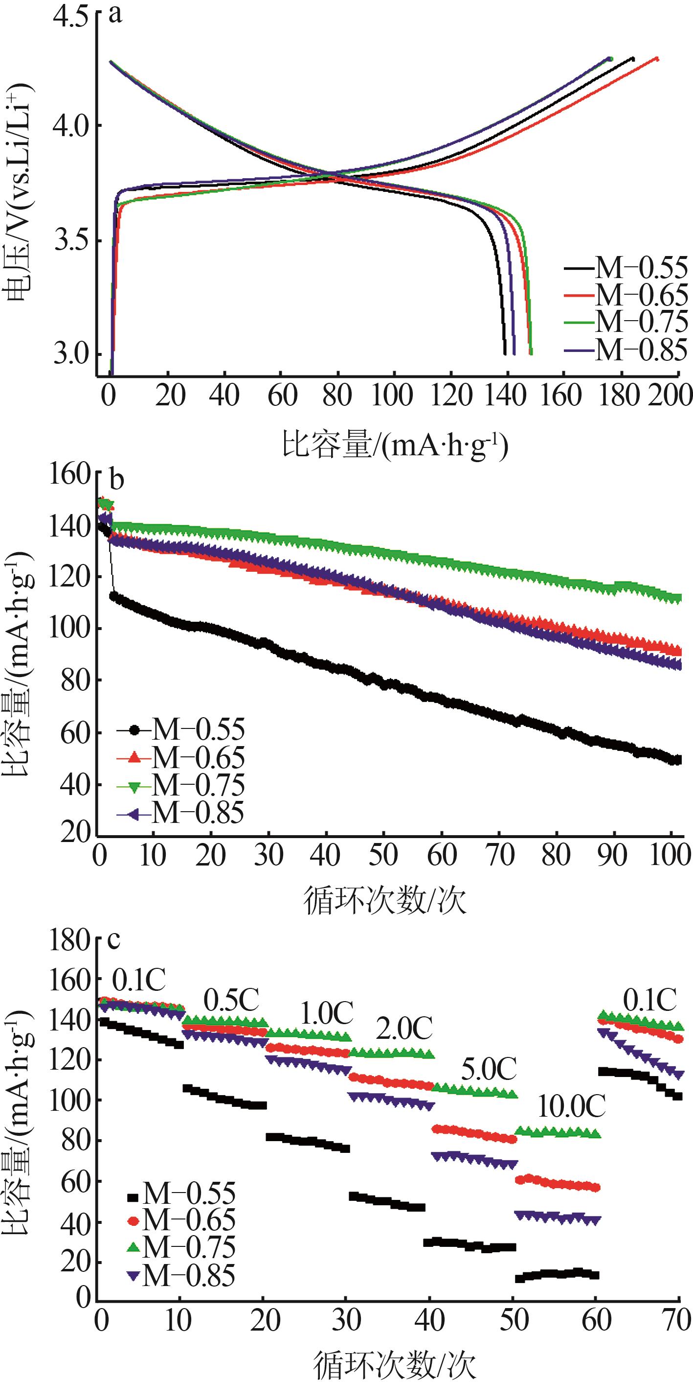
The focus of recycling of waste lithium-ion batteries is spent cathode materials.In this paper,Spent LiNi0.5Co0.2Mn0.3O2(NCM523) was directly generated by a high-temperature solid-phase reaction method,in which the conductive carbon and the polyvinylidene fluoride binder were not removed.The effects of lithium supplementation (x was defined as the mole ratio of NCM523 and LiOH) on the structure and performance of the regenerated NCM523 were investigated by XRD,SEM,CV,EIS,and galvanostatic charging/discharging techniques.As the lithium supplementation increased,the layered structure ordering degree,lithium ion diffusion coefficient,and capacity of the regenerated NCM523 exhibited an initial increase,followed by a subsequent decrease.Concurrently,the redox reaction reversibility,CEI membrane impedance,and charge transfer impedance demonstrated an initial decrease,followed by an increase.The optimal layered structure of the regenerated NCM523 was observed at a lithium replenishment x of 0.75.The regenerated NCM523 exhibited an initial coulombic efficiency of 83.87%,accompanied by a discharge specific capacity of 148.2 mA·h/g at 0.1C.Additionally,it demonstrated an initial capacity of 139.5 mA·h/g at 1.0C,along with a retention rate of 80.18% after 100 cycles.Furthermore,the use of EIS and CV tests demonstrated that the regenerated samples exhibited enhanced structural stability and ionic conductivity.As a comparison,the discarded NCM523 pretreated with calcination to remove conductive carbon and PVDF after regenerating by using high-temperature solid-phase direct regeneration exhibited a first-cycle discharge capacity of 145.0 mA·h/g at 0.1C,with a coulombic efficiency of 79.38%.Its discharge capacity at 1.0C was 123.5 mA·h/g,maintaining 62.29% after 100 cycles.The findings of this study offered novel approaches for the recycling of waste cathode materials.

Key words: spent lithium-ion batteries, spent cathode materials, direct regeneration, high-temperature solid-phase method

CLC Number: