无机盐工业
主管:中海油天津化工研究设计院有限公司
主办:中海油天津化工研究设计院有限公司
   中海油炼油化工科学研究院(北京)有限公司
   中国化工学会无机酸碱盐专业委员会
ISSN 1006-4990 CN 12-1069/TQ

无机盐工业 ›› 2026, Vol. 58 ›› Issue (2): 68-75.doi: 10.19964/j.issn.1006-4990.2025-0018

• 环境·健康·安全 • 上一篇    下一篇

酸碱协同处理鸡粪后热解制生物炭及其对Cd2+的吸附研究

洪梦环1(), 纳森巴特2, 王娅娅2, 李双芹1, 许德华1, 严正娟1, 刘伟2, 王辛龙1,2()   

  1. 1.四川大学化学工程学院教育部磷资源综合利用与清洁加工工程研究中心,四川 成都 610065
    2.伊犁师范大学化学化工学院新疆生物质资源清洁转化与高值利用重点实验室,新疆 伊犁 835000
  • 收稿日期:2025-01-06 出版日期:2026-02-10 发布日期:2026-03-12
  • 通讯作者: 王辛龙(1974— ),男,教授,研究方向为磷化工;E-mail:wangxl@scu.edu.cn
  • 作者简介:洪梦环(2001— ),男,硕士,研究方向为磷化工;E-mail:hmhhuan@163.com
  • 基金资助:
    四川省科技厅重点研发项目(2024YFNH0003);新疆维吾尔自治区天山英才项目(2024TSYCJC0031)

Study on preparation of biochar via pyrolysis of acid-base synergistically treated chicken manure and its adsorption performance for Cd²⁺

HONG Menghuan1(), NASEN Bate2, WANG Yaya2, LI Shuangqin1, XU Dehua1, YAN Zhengjuan1, LIU Wei2, WANG Xinlong1,2()   

  1. 1.Ministry of Education Research Center for Comprehensive Utilization and Clean Processing Engineering of Phosphorus Resources,School of Chemical Engineering,Sichuan University,Chengdu 610065,China
    2.Xinjiang Key Laboratory of Clean Conversion and High-Value Utilization of Biomass Resources,School of Chemistry and Chemical Engineering,Yili Normal University,Yili 835000,China
  • Received:2025-01-06 Published:2026-02-10 Online:2026-03-12

摘要:

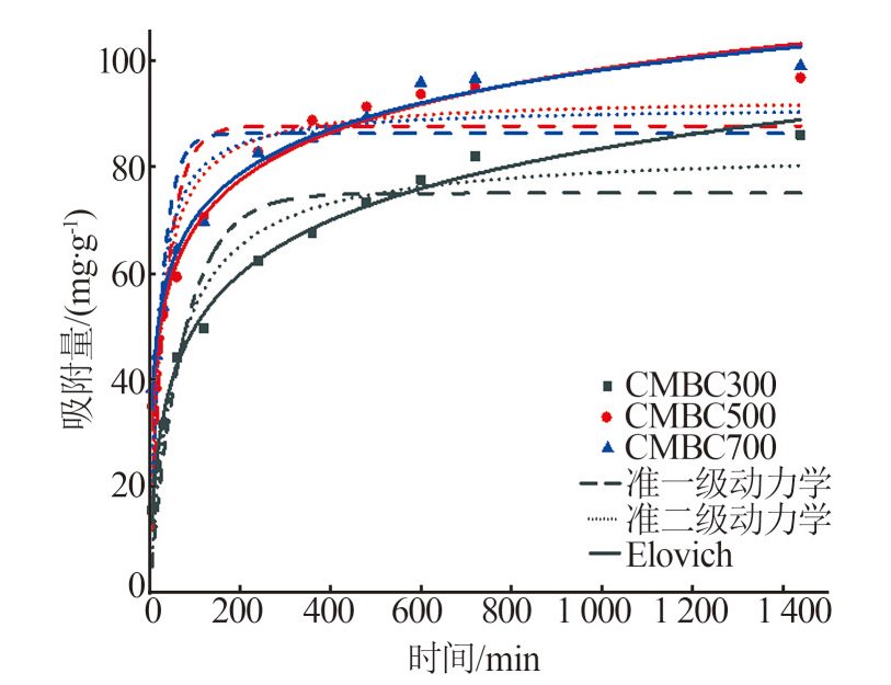
针对鸡粪资源化利用和废水镉污染的治理问题,以鸡粪为原料,通过湿法磷酸与氢氧化钾协同处理后,采用限氧热解法分别在300、500、700 ℃下热解制备生物炭(CMBC)。采用元素分析仪、比表面积与孔径分析仪、拉曼光谱仪、X射线荧光光谱仪和傅里叶变换红外光谱仪等分析生物炭的基本特性,研究生物炭对Cd2+的吸附性能和作用机制。结果表明:热解温度由300 ℃升至500 ℃时,生物炭的产率、灰分、元素组成及孔径结构等理化性质变化显著,CMBC500的比表面积为141.64 m2/g、总孔容为0.141 1 cm3/g、平均孔径为4.82 nm,提高热解温度更有利于吸附,CMBC500的最大吸附量达99.28 mg/g,而当热解温度由500 ℃升至700 ℃时,生物炭的理化性质和吸附量均变化较小;生物炭吸附Cd2+的过程符合Elovich方程和Sips模型,为多种机制相互作用的非均相吸附过程;随着溶液初始pH的增加,生物炭对Cd2+的吸附作用增强,但Ca2+和Mg2+的存在会导致吸附量降低。根据吸附实验,CMBC对Cd2+的吸附是以物理吸附为主,静电作用、离子交换、官能团络合等化学吸附协同作用的结果。

关键词: 鸡粪, 生物炭, 吸附,

Abstract:

Addressing the resource utilization of chicken manure and the management of cadmium pollution in wastewater,using chicken manure as raw material,after synergistic treatment with wet phosphoric acid and potassium hydroxide,biochar(CMBC) was prepared by limited oxygen pyrolysis at 300,500,and 700 ℃ respectively.Fundamental properties of the biochar were analyzed using elemental analysis,specific surface area and pore size distribution analyzers,Raman spectroscopy,X-ray fluorescence(XRF),and Fourier transform infrared spectroscopy(FT-IR).The adsorption properties and mechanisms of biochar for Cd2+ were investigated.The results indicated that when the pyrolysis temperature was increased from 300 ℃ to 500 ℃,significant changes occurred in the physicochemical properties of biochar,including yield,ash content,elemental composition,and pore structure.The specific surface area of CMBC500 reached 141.64 m²/g,with a total pore volume of 0.141 1 cm³/g and an average pore diameter of 4.82 nm,demonstrating that higher pyrolysis temperatures were more conducive to adsorption.Notably,CMBC500 exhibited a maximum adsorption capacity of 99.28 mg/g.However,further increasing the pyrolysis temperature from 500 ℃ to 700 ℃ resulted in minimal changes in both the physicochemical properties and adsorption capacity of the biochar.The adsorption process of Cd2+ onto biochar was followed the Elovich equation and Sips model,suggesting a non-homogeneous adsorption process involving diverse mechanisms.With the increases of the initial solution pH,the adsorption capability of Cd2+ of biochar was improved.The presence of Ca2+ and Mg2+ also led to a reduction in adsorption capacity.Based on the adsorption experiment,the adsorption of Cd2+ by CMBC was mainly physical adsorption,supplemented by chemical adsorption such as electrostatic interaction,ion exchange,and functional group complexation.

Key words: chicken manure, biochar, adsorption, cadmium

中图分类号: