Inorganic Chemicals Industry ›› 2025, Vol. 57 ›› Issue (11): 123-129.doi: 10.19964/j.issn.1006-4990.2024-0365
• Catalytic Materials • Previous Articles Next Articles
YANG Yuwang(
), LI Xiaoyun, LU Yanfei, WU Tongxu, CAI Qi, ZHOU Peng, ZHOU Jinghui, YAN Shuo, SUN Yanmin
Received:2024-06-28
Online:2025-11-10
Published:2025-08-12
CLC Number:
YANG Yuwang, LI Xiaoyun, LU Yanfei, WU Tongxu, CAI Qi, ZHOU Peng, ZHOU Jinghui, YAN Shuo, SUN Yanmin. Study on hydrolysis performance of 4-oxaheptanediol over phosphorus-modified ZSM-5 zeolite[J]. Inorganic Chemicals Industry, 2025, 57(11): 123-129.
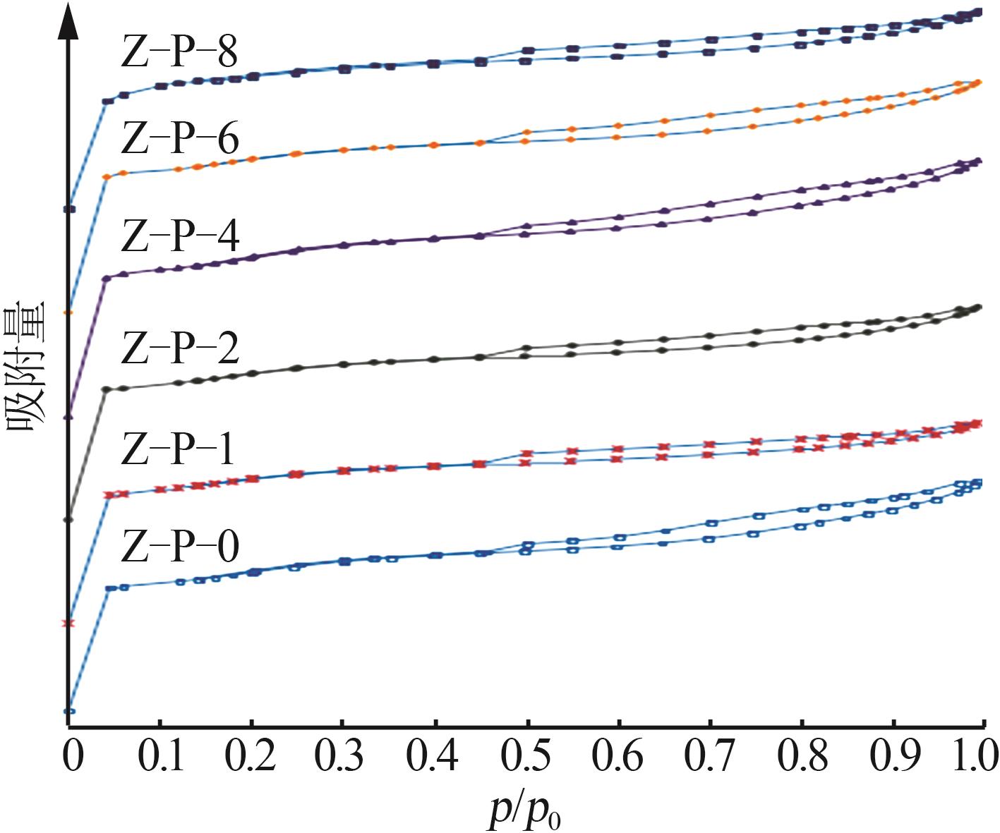
Table 2
Pore structure properties of ZSM-5 zeolites before and after modification"
| 样品 | 总比表面积/ (m2·g-1) | 微孔比表面积/ (m2·g-1) | 介孔比表面积/ (m2·g-1) | 总孔体积/ (cm3·g-1) | 微孔孔体积/ (cm3·g-1) | 介孔孔体积/ (cm3·g-1) | 平均孔径/ nm |
|---|---|---|---|---|---|---|---|
| Z-P-0 | 236.96 | 110.17 | 126.79 | 0.196 | 0.060 | 0.136 | 3.31 |
| Z-P-1 | 224.95 | 108.83 | 116.12 | 0.179 | 0.058 | 0.121 | 3.18 |
| Z-P-2 | 216.91 | 103.72 | 113.19 | 0.168 | 0.056 | 0.112 | 3.11 |
| Z-P-4 | 215.75 | 104.28 | 111.47 | 0.161 | 0.060 | 0.101 | 2.98 |
| Z-P-6 | 206.56 | 103.93 | 102.63 | 0.152 | 0.056 | 0.096 | 2.94 |
| Z-P-8 | 181.95 | 99.08 | 82.87 | 0.118 | 0.063 | 0.055 | 2.59 |
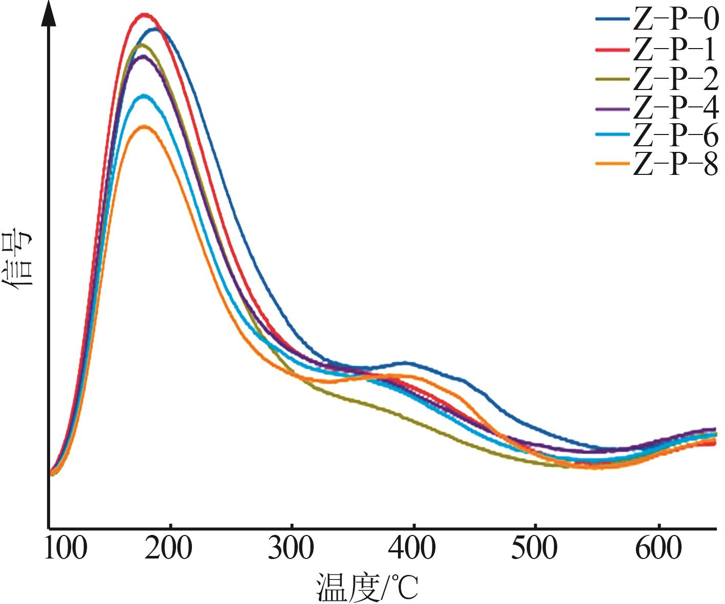
Table 3
Acid properties of ZSM-5 zeolites before and after modification"
| 编号 | 弱酸脱 附温度/℃ | 强酸脱附温度/℃ | 弱酸 密度/ (mmol·g-1) | 强酸 密度/ (mmol·g-1) | 总酸 密度/ (mmol·g-1) | 弱酸 比例/ % | 强酸 比例/ % |
|---|---|---|---|---|---|---|---|
| Z-P-0 | 189.1 | 395.6 | 0.321 | 0.061 | 0.382 | 84.0 | 16.0 |
| Z-P-1 | 186.9 | 389.5 | 0.273 | 0.063 | 0.336 | 81.2 | 18.8 |
| Z-P-2 | 182.7 | 382.8 | 0.266 | 0.065 | 0.331 | 80.4 | 19.6 |
| Z-P-4 | 183.3 | 385.6 | 0.255 | 0.066 | 0.321 | 79.4 | 20.6 |
| Z-P-6 | 184.0 | 383.3 | 0.252 | 0.063 | 0.315 | 80.0 | 20.0 |
| Z-P-8 | 185.5 | 392.3 | 0.246 | 0.062 | 0.308 | 79.9 | 20.1 |
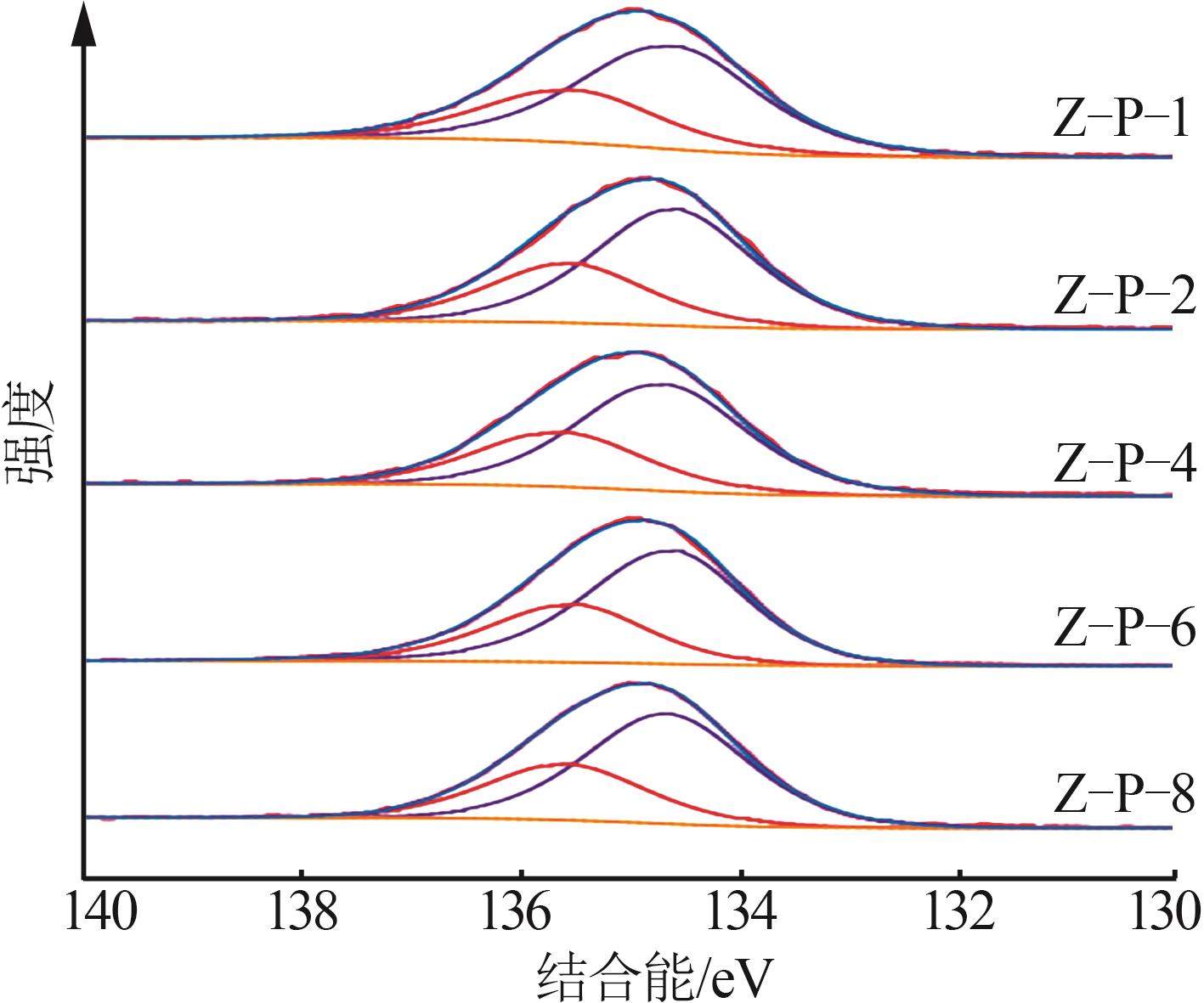
Table 4
Peak area of phosphorus species in NMR spectra"
| 化学位移/10-6 | Z-P-1 | Z-P-2 | Z-P-4 | Z-P-6 | Z-P-8 |
|---|---|---|---|---|---|
| 0 | 85.8 | 81.1 | 94.3 | 46.4 | 156.4 |
| -6 | 102.2 | 138.3 | 125.9 | 145.9 | 193.7 |
| -12 | 256.5 | 250.6 | 294.2 | 306.7 | 455.6 |
| -18 | 278.9 | 324.2 | 333.4 | 331.9 | 461.8 |
| -24 | 632.6 | 674.1 | 644.5 | 783.6 | 907.7 |
| -32 | 328.7 | 444.3 | 473.8 | 538.2 | 821.5 |
| -40 | 81.7 | 103.3 | 128.1 | 179.8 | 196.8 |
| -46 | 88.7 | 96.8 | 135.2 | 198.6 | 249.1 |
| [1] | 徐向亚,张明森,邵云,等.制备1,3-丙二醇的方法:中国,115806467B[P].2024-12-06. |
| [2] | 徐林,丁克鸿,王怡明,等.一种3,3′-氧双-1-丙醇水解制备1,3-丙二醇的方法:中国,113354512B[P].2022-09-09. |
| [3] | YU Hairong, KEVLISHVILI I, YU Xuan,et al.Boron insertion into alkyl ether bonds via zinc/nickel tandem catalysis[J].Science,2021,372(6538):175-182. |
| [4] | 周邦荣.1,3-丙二醇生产工艺[J].石油化工动态,1998,6(5):55-61. |
| ZHOU Bangrong.Production technology of 1,3-propanediol[J].Petroleum & Petrochemical Today,1998,6(5):55-61. | |
| [5] | 李平,熊刚华,朱贻安,等.纳米ZSM-5分子筛在二甲醚催化剂水解制甲醇反应中的应用:中国,101538187A[P].2009-09-23. |
| [6] | 韩文华,洪鲁伟,李滨,等.晶种法制备多级孔ZSM-5分子筛的研究[J].无机盐工业,2024,56(5):128-134. |
| HAN Wenhua, HONG Luwei, LI Bin,et al.Study on synthesis of hierarchical ZSM-5 zeolite by seed method[J].Inorganic Chemicals Industry,2024,56(5):128-134. | |
| [7] | 刘承贤.软模板法合成介微双孔ZSM-5及其吸附机理分析[D].南宁:广西大学,2022. |
| LIU Chengxian.Synthesis of meso-microprorous ZSM-5 by soft template method and its adsorption mechanism analysis[D].Nan Ning:GuangXi University,2022. | |
| [8] | 李永恒,米晓彤,张培培.全结晶纳米ZSM-5分子筛团聚体的合成及在甲苯甲基化中的应用[J].无机盐工业,2024,56(5):135-140. |
| LI Yongheng, MI Xiaotong, ZHANG Peipei.Synthesis of holycrystalline nano-ZSM-5 aggregate and its application in methylation of toluene[J].Inorganic Chemicals Industry,2024,56(5):135-140. | |
| [9] | 王健捷,束小龙,肖霞,等.多级孔花状ZSM-5分子筛的合成及其正辛烷催化裂解反应性能研究[J].无机盐工业,2024,56(8):139-146. |
| WANG Jianjie, SHU Xiaolong, XIAO Xia,et al.Study on synthesis of hierarchical flower-like ZSM-5 zeolite and its catalytic performance for n-octane cracking[J].Inorganic Chemicals Industry,2024,56(8):139-146. | |
| [10] | 骆中璨,彭波,夏龙贵,等.分子筛ZSM-5改性性能研究进展[J].江西化工,2022,38(5):19-24. |
| LUO Zhongcan, PENG Bo, XIA Longgui,et al.Research Progress on modification of ZSM-5 molecular sieve[J].Jiangxi Chemical Industry,2022,38(5):19-24. | |
| [11] | 王丽霞,宋海涛,严加松,等.ZSM-5分子筛的合成方法及高水热稳定性ZSM-5分子筛:中国,118145668A[P].2024-06-07. |
| [12] | 侯硕旻,段宏昌,郭静静,等.磷改性ZSM-5及其对催化裂化增产丙烯的影响[J].石油炼制与化工,2022,53(10):58-65. |
| HOU Shuomin, DUAN Hongchang, GUO Jingjing,et al.Effect of phosphorus modification on the ZSM-5 zeolite for increasing propylene production in FCC unit[J].Petroleum Processing and Petrochemicals,2022,53(10):58-65. | |
| [13] | 曹健,郝坤,邢梦姣,等.晶种法直接水热合成含磷ZSM-5分子筛及其芳构化性能研究[J].低碳化学与化工,2024,49(6):87-94. |
| CAO Jian, HAO Kun, XING Mengjiao,et al.Study on direct hydrothermal synthesis of phosphorus-containing ZSM-5 zeolites by seeding method and their aromatization performance[J].Low-Carbon Chemistry and Chemical Engineering,2024,49(6):87-94. | |
| [14] | 郭硕,达志坚,严加松,等.磷酸铝溶胶对分子筛的破坏作用机理[J].石油学报(石油加工),2025,41(1):41-52. |
| GUO Shuo, Zhijian DA, YAN Jiasong,et al.Destruction mechanism of aluminum phosphate sol on zeolites[J].Acta Petrolei Sinica(Petroleum Processing Section),2025,41(1):41-52. | |
| [15] | 熊晓云,张君屹,胡清勋,等.纳米ZSM-5分子筛的磷改性[J].石油化工,2024,53(10):1387-1393. |
| XIONG Xiaoyun, ZHANG Junyi, HU Qingxun,et al.Phosphorus modification of nano ZSM-5 zeolite[J].Petrochemical Technology,2024,53(10):1387-1393. | |
| [16] | 李雪礼,侯硕旻,段宏昌,等.磷改性工艺对ZSM-5分子筛催化裂化增产丙烯性能的影响[J].石油炼制与化工,2023,54(8):74-82. |
| LI Xueli, HOU Shuomin, DUAN Hongchang,et al.Effect of phosphorus modification process on catalytic cracking performance of ZSM-5 zeolite for increasing propylene production[J].Petroleum Processing and Petrochemicals,2023,54(8):74-82. |
| [1] | WANG Jianjie, SHU Xiaolong, XIAO Xia, WANG Peng, FAN Xiaoqiang, KONG Lian, XIE Zean, ZHAO Zhen. Study on synthesis of hierarchical flower⁃like ZSM-5 zeolite and its catalytic performance for n-octane cracking [J]. Inorganic Chemicals Industry, 2024, 56(8): 139-146. |
| [2] | XU Zijian, WANG Yu, LIU Jingyong, ZHU Chuanghai, CHEN Zhibin, HUANG Shengzheng, XIE Wuming, SUN Shuiyu. Study on defluorination process of secondary aluminum ash wet process and conversion behavior of fluoride [J]. Inorganic Chemicals Industry, 2024, 56(6): 109-118. |
| [3] | LI Mengyu, TANG Jianwei, LIU Yong, HUA Quanxian, LIU Pengfei, WANG Baoming. Study on preparation process of calcium magnesium acetate snowmelt agent from phosphorous tailings by acetic acid hydrolysis [J]. Inorganic Chemicals Industry, 2024, 56(1): 73-80. |
| [4] | PAN Sicheng,XU Hongbin,ZHANG Hongling,DONG Yuming,ZHANG Hongjun,LOU Taiping. Study on preparation of metatitanic acid by hydrolysis of leaching solution of roasted mixture of red mud and ammonium sulfate [J]. Inorganic Chemicals Industry, 2023, 55(2): 85-91. |
| [5] | LIU Xiao, XIE Lei, DENG Jifeng, SHI Yu, ZHENG Jie. Study on performance of sponge supported Co-B catalyst for hydrogen generation from catalytic hydrolysis of sodium borohydride [J]. Inorganic Chemicals Industry, 2023, 55(12): 146-151. |
| [6] | PENG Qiugui, YANG Fan, LÜ Renliang, XIANG Lan. Effect of pre-reduction on deferrization in hydrothermal hydrolysis process of Mg/Al/Fe-bearing TiOSO4 solution [J]. Inorganic Chemicals Industry, 2023, 55(12): 95-101. |
| [7] | Li Xiaoguo, Li Yongheng, Hou Zhanggui, Han Guodong, Xiao Jiawang, Gao Jinping, Chang Yang. Study on pilot catalytic performance of the modified catalyst for alkylation of toluene with methanol to p-xylene [J]. Inorganic Chemicals Industry, 2021, 53(3): 97-101. |
| [8] | YANG Zhuoying,YANG Fan,YI Meigui,XIANG Lan. Rule of hydrothermal hydrolysis of Mg/Al-bearing TiOSO4 solution [J]. Inorganic Chemicals Industry, 2021, 53(12): 113-116. |
| [9] | Chen Yanguang,Han Tong,Zhang Yanan,Yang Xiuqi,Han Hongjing,Wang Hao. Process regulation of ZSM-5 zeolite synthesis from hydrolyzed tetraethyl orthosilicate as silicon source in acidic medium [J]. Inorganic Chemicals Industry, 2020, 52(7): 88-93. |
| [10] | Chen Yuerong,Jin Huiming,Yu Liang,Shao Yangyang. Preparation of amorphous Co-Cr-B and catalytic sodium borohydride hydrolysis for hydrogen generation [J]. Inorganic Chemicals Industry, 2020, 52(2): 91-96. |
| [11] | Li Xiaoguo,Mi Xiaotong,Hou Zhanggui. Synthesis of aggregated nano-sized ZSM-5 zeolite with ternary pore structure [J]. Inorganic Chemicals Industry, 2020, 52(12): 104-108. |
| [12] | Wang Yan,Wang Xinlong,Xu Dehua,Xu Dejun,Yang Jingxu. Effect of Mg2+ on hydrolysis of water soluble ammonium polyphosphate [J]. Inorganic Chemicals Industry, 2020, 52(10): 72-76. |
| [13] | Sun Haijie,Chen Lingxia,Zhang Yufeng,An Dongdong,Liu Cong. Performance of Co-B/ZrO2 catalyst for hydrogen generation from catalytic hydrolysis of sodium borohydride solution [J]. Inorganic Chemicals Industry, 2019, 51(3): 72-76. |
| [14] | Lu Ruifang,Wu Jianchun,Liu Chan. Influence of titanyl sulfate solution hydrolysis process on tintreducing power of rutile titanium dioxide [J]. Inorganic Chemicals Industry, 2019, 51(12): 44-48. |
| [15] | Wu Jianchun,Lu Ruifang,Liu Chan,Xin Huijin. Analysis of factors affecting particle size distribution of hydrolyzed metatitanic acid [J]. Inorganic Chemicals Industry, 2019, 51(11): 50-53. |
| Viewed | ||||||
|
Full text |
|
|||||
|
Abstract |
|
|||||
|
||
Copyright © 2021 Editorial Office of Inorganic Chemicals Industry
Add:No.3 Road Dingzigu,Hongqiao District,Tianjin,China
E-mail:book@wjygy.com.cn 违法和不良信息举报电话: 022-26689297