Inorganic Chemicals Industry ›› 2026, Vol. 58 ›› Issue (3): 41-48.doi: 10.19964/j.issn.1006-4990.2025-0083

• Research & Development • Previous Articles     Next Articles

Study on low-temperature synthesis of low-silica CHA zeolite and its CO2/N2 adsorption and separation performance

XU Fan(), YIN Xiaoyan(), SONG Feng   

  1. School of Chemistry and Chemical Engineering,Shandong University of Technology,Zibo 255000,China
  • Received:2025-02-20 Online:2026-03-10 Published:2025-08-01
  • Contact: YIN Xiaoyan E-mail:2431883258@qq.com;576076612@qq.com

Abstract:

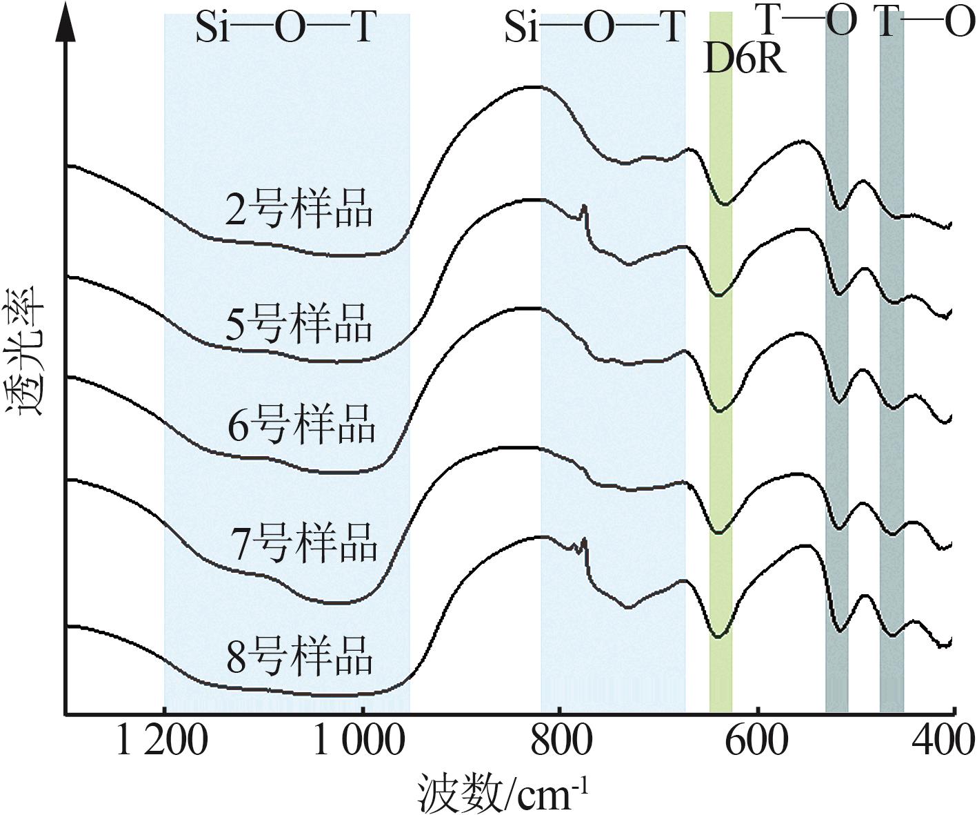
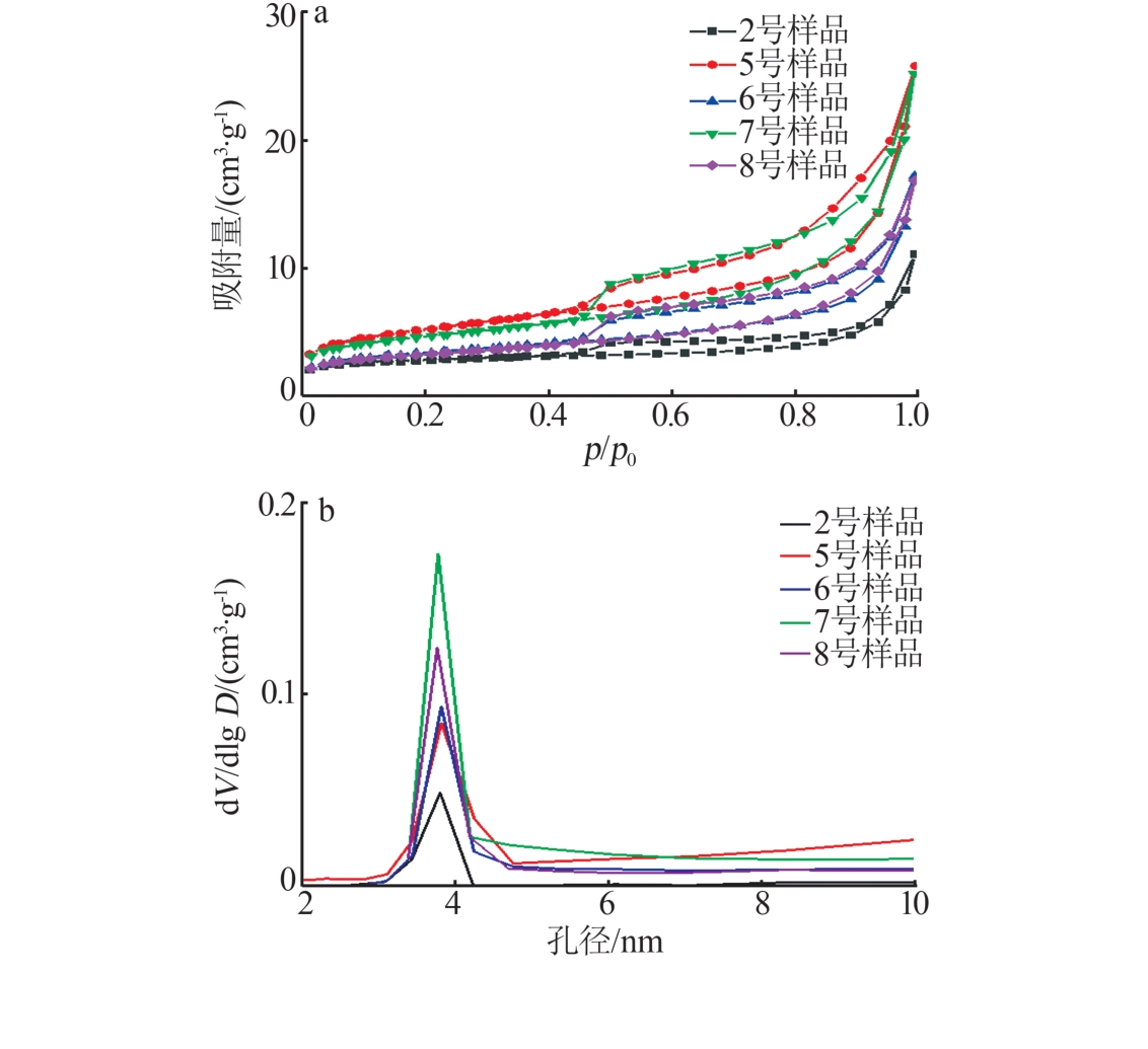
CHA zeolite,with its unique eight-membered ring pore structure,has potential industrial application prospects in the field of CO2 adsorption and separation.In order to achieve the research goal of low-cost and green synthesis of high-performance zeolites,zeolite CHA was synthesized at low temperature without the use of organic structure-directing agents,and its CO2/N2 separation properties were investigated.The effects of crystallization temperature,time,and K+ content on the synthesis of pure-phase CHA zeolite were comprehensively investigated using characterization techniques including XRD,SEM,FT-IR,EDS and TGA.The CO2 and N2 adsorption isotherms at 273 K and 298 K were measured,and the CO2/N2 IAST(Ideal Adsorption Solution Theory) selectivities were calculated.The results showed that the conditions of crystallization at 353 K for 288 h,the CHA zeolite prepared with the synthesis formula of n(SiO2)∶n(Al2O3)∶n(K2O)∶n(H2O)=1∶0.2∶0.4∶35 exhibited high CO2/N2 adsorption and separation performance(IAST selectivity value of 51.2).Adsorption mechanism studies were conducted.The four-parameter Dual-site Langmuir model and the three-parameter Langmuir-Freundlich model were used to fit the CO2 and N2 adsorption data,both showing high goodness of fit with coefficient of determination(R2) exceeding 0.999.Additionally,isosteric heats calculations and CO2-TPD tests were performed.The results indicated that the CO2 adsorption behavior belonged to heterogeneous physical adsorption.The method of low-temperature hydrothermal synthesis of CHA zeolite was simple and low-cost,and it had good CO2 adsorption and separation,and cyclic regeneration performance,which had strong industrial application value.

Key words: CHA zeolite, low-silica zeolite, hydrothermal synthesis, CO2 adsorption, CO2/N2 separation

CLC Number: