Inorganic Chemicals Industry ›› 2026, Vol. 58 ›› Issue (3): 119-126.doi: 10.19964/j.issn.1006-4990.2025-0066

• Catalytic Materials • Previous Articles    

Effect of carrier property on catalytic performance of potassium supported catalysts for propylene dimerization

FENG Jiahao1,2(), HUA Jixiang1,2, ZHANG Huan1,2, ZHANG Shenghong1,2, SUN Peiyong1,2, YAO Zhilong1,2()   

  1. 1.College of New Materials and Chemical Engineering,Beijing Institute of Petrochemical Technology,Beijing 102617,China
    2.Beijing Key Laboratory of Enze Biomass Fine Chemical,Beijing 102617,China
  • Received:2025-02-12 Online:2026-03-10 Published:2025-06-13
  • Contact: YAO Zhilong E-mail:472327321@qq.com;yaozl@bipt.edu.cn

Abstract:

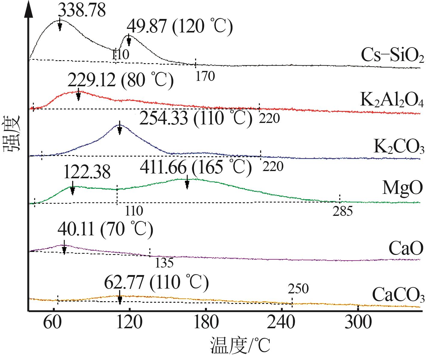
A series of solid superbase catalysts were prepared by using alkali metal oxides or salts with different pore structures and alkali strengths as carriers,and supporting metal K by melting method,to investigate the effect of the physical and chemical properties of carrier on the surface alkali strength and the catalytic performance of potassium supported catalysts for propylene dimerization.The carriers and catalysts were characterized by N2 adsorption desorption,CO2-TPD,Hammett titration,XRD and other methods,and their catalytic performance for propylene dimerization was investigated in a batch reactor.The surface alkali strength of each carrier was significantly increased after loading potassium.The catalysts with K2O2 had catalytic effect on propylene dimerization.The K/K2CO3 catalyst had the highest K2O2 content and showed the best catalytic performance,offered a propylene conversion and 4MP1 selectivity at 96.13% and 86.02%,respectively.It was indicated that the central superbase sites of the catalyst surface were mainly provided by the K2O2 species formed by the interaction between the supported metal K and the carrier.The carriers with higher surface alkali strength were more conducive to the formation of central superbase sites on the catalyst surface.In the catalytic propylene dimerization reaction,the higher the content of K2O2 species on the catalyst surface,the higher the conversion rate of propylene.The selectivity of producing the target product 4MP1 was related to the distribution of alkaline strength of the basic sites on the catalyst surface and the suitable Hammett index range for alkaline strength was 33~35.It was independent of the specific surface area and average pore size of the carriers.

Key words: propylene dimerization, solid base catalyst, catalyst support, 4-methyl-1-pentene

CLC Number: